Última actualización :
27/01/2026
fármacos contra el cáncer   Cabazitaxel  
Inyectables
Estabilidad en solucion Estabilidad en mezcla Factores que influyen sobre la estabilidad Compatibilidades método de inyección Bibliografía pdf
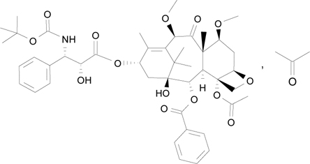
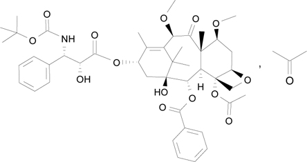
   Estructura química  

Nombre comercial   Nombre comercial     

Los nombres comerciales son orientativos y los excipientes de la formulación pueden ser distintos dependiendo del país y del laboratorio fabricante.

Cabazil Argentina
Cabazitaxel Alemania, Dinamarca, España, Finlandia
Cecalter Argentina
Jevtana Alemania, Argentina, Australia, Bélgica, Brasil, Canadá, Chile, Colombia, Dinamarca, Ecuador, Eslovenia, España, Estados Unidos de América, Finlandia, Francia, Gran Bretaña, Islandia, Italia, Malasia, Marruecos, México, Noruega, Rumania, Suiza, Turquía
Proazitax Brasil
Xatiza Chile
Zitat Argentina
Bibliografía   Inyectables   Bibliografía : Cabazitaxel  
Tipo Publicación
3237 Laboratorio Cabazitaxel (Jevtana®) - Résumé des caractéristiques du produit.
Sanofi Aventis France 2011
3804 periódico Lazzarini R, Salvadori S, Trapella C, Guerrini R, Marzola E, Pasini G, Dalpiaz A.
Physicochemical stability of cabazitaxel and docetaxel solutions.
EJHP 2014 ;22:150-155.
4761 periódico D'Huart E, Sacrez M, Vigneron J, Demoré B.
Physicochemical stability of Cabazitaxel Zentiva® solution in vials after opening and diluted- solutions in three infusion bags.
Pharmaceutical Technology in Hospital Pharmacy 2023 ; 8(1): 20220009
4800 póster H Ma N, Law S, Walker S.
Stability of Dr.Reddy’s Cabazitaxel Following Reconstitution with Manufacturer’s Diluent & Dilution with Sodium Chloride and Dextrose 5% in non-PVC non-DEHP bags and Original Glass Vials at 25°C, 4°C and -20°C.
2023

  Mentions Légales