Viimeisin päivitys :
27/01/2026
syöpälääke   Cabazitaxel  
Injektioneste
Stabilius liuoksessa Stabilius seoksissa Tekijät, jotka vaikuttavat stabiliuteen Yhteensopivuus Antotapa Viitteet pdf
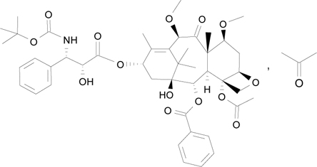
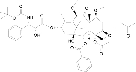
   Kemiallinen rakenne  

Kauppanimi   Kauppanimi     

Trade names are indicative and excipients composition can be different depending on the country and manufacturers

Cabazil Argentiina
Cabazitaxel Espanja, Saksa, Suomi, Tanska
Cecalter Argentiina
Jevtana Argentiina, Australia, Belgia, Brasilia, Chile, Ecuador, Espanja, Islanti, Iso-Britannia, Italia, Kanada, Kolumbia, Malesia, Marokko, Meksiko, Norja, Ranska, Romania, Saksa, Slovenia, Suomi, Sveitsi, Tanska, Turkki, Yhdysvallat
Proazitax Brasilia
Xatiza Chile
Zitat Argentiina
Viitteet   Injektioneste   Viitteet : Cabazitaxel  

  Mentions Légales