Последно актуализиране :
27/01/2026
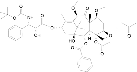
противораково лекарство   Cabazitaxel  
Инжекция/Инжекционен
Стабилност на разтвори Стабилност на смеси Фактори, повлияващи стабилността Съвместимост Път на въвеждане Библиография Pdf
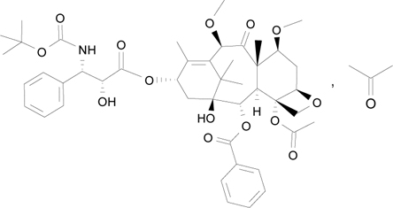
   Химична структура  

Търговско наименование   Търговско наименование     

Търговските имена са примерни и съставът на помощните вещества може да бъде различен в зависимост от държавата и лабораториите

Cabazil Аржентина
Cabazitaxel Германия, Дания, Испания, Финландия
Cecalter Аржентина
Jevtana Австралия, Аржентина, Белгия, Бразилия, Великобритания, Германия, Дания, Еквадор, Исландия, Испания, Италия, Канада, Колумбия, Малайзия, Мексико, Норвегия, Перу, Румъния, Словения, Съединени Американски щати / САЩ, Турция, Финландия, Франция, Чили, Швейцария
Proazitax Бразилия
Xatiza Чили
Zitat Аржентина
Библиография   Инжекция/Инжекционен   Библиография : Cabazitaxel  
Вид Публикация
3237 Лаборатория Cabazitaxel (Jevtana®) - Résumé des caractéristiques du produit.
Sanofi Aventis France 2011
3804 Списание Lazzarini R, Salvadori S, Trapella C, Guerrini R, Marzola E, Pasini G, Dalpiaz A.
Physicochemical stability of cabazitaxel and docetaxel solutions.
EJHP 2014 ;22:150-155.
4761 Списание D'Huart E, Sacrez M, Vigneron J, Demoré B.
Physicochemical stability of Cabazitaxel Zentiva® solution in vials after opening and diluted- solutions in three infusion bags.
Pharmaceutical Technology in Hospital Pharmacy 2023 ; 8(1): 20220009
4800 Плакат H Ma N, Law S, Walker S.
Stability of Dr.Reddy’s Cabazitaxel Following Reconstitution with Manufacturer’s Diluent & Dilution with Sodium Chloride and Dextrose 5% in non-PVC non-DEHP bags and Original Glass Vials at 25°C, 4°C and -20°C.
2023

  Mentions Légales