Останнє оновлення :
27/01/2026
Протипухлинний препарат   Cabazitaxel  
ін'єкція
Стійкість в розчинах Стійкість сумішей Фактори, що впливають на стабільність Сумісність Шлях введення Список літератури pdf
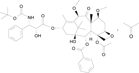
   Хімічна структура  

Торгова назва   Торгова назва     

Торгові назви є орієнтовними, а склад допоміжних речовин може бути різним залежно від країни та виробника

Cabazil Аргентина
Cabazitaxel Іспанія, Данія, Німеччина, Фінляндія
Cecalter Аргентина
Jevtana Ісландія, Іспанія, Італія, Австралія, Аргентина, Бельгія, Бразилія, Великобританія, Данія, Еквадор, Канада, Колумбія, Малайзія, Мексика, Німеччина, Норвегія, Перу, Румунія, Словенія, Сполучені Штати Америки, Туреччина, Фінляндія, Франція, Чилі, Швейцарія
Proazitax Бразилія
Xatiza Чилі
Zitat Аргентина
Список літератури   ін'єкція   Список літератури : Cabazitaxel  
Тип Публікація
3237 Виробник Cabazitaxel (Jevtana®) - Résumé des caractéristiques du produit.
Sanofi Aventis France 2011
3804 журнал Lazzarini R, Salvadori S, Trapella C, Guerrini R, Marzola E, Pasini G, Dalpiaz A.
Physicochemical stability of cabazitaxel and docetaxel solutions.
EJHP 2014 ;22:150-155.
4761 журнал D'Huart E, Sacrez M, Vigneron J, Demoré B.
Physicochemical stability of Cabazitaxel Zentiva® solution in vials after opening and diluted- solutions in three infusion bags.
Pharmaceutical Technology in Hospital Pharmacy 2023 ; 8(1): 20220009
4800 Плакат H Ma N, Law S, Walker S.
Stability of Dr.Reddy’s Cabazitaxel Following Reconstitution with Manufacturer’s Diluent & Dilution with Sodium Chloride and Dextrose 5% in non-PVC non-DEHP bags and Original Glass Vials at 25°C, 4°C and -20°C.
2023

  Mentions Légales