Ultimele actualizari :
27/01/2026
Citostatic   Cabazitaxel  
Injectabil
Stabilitatea in solutie Stabilitatea in amestec Factorii care influenteaza stabilitatea Compatibilitate Microunde Bibliografie pdf
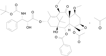
   Formula chimica  

Denumirea comerciala   Denumirea comerciala     

Trade names are indicative and excipients composition can be different depending on the country and manufacturers

Cabazil Argentina
Cabazitaxel Danemarca, Finlanda, Germania, Spania
Cecalter Argentina
Jevtana Argentina, Australia, Belgia, Brazilia, Canada, Chilli, Columbia, Danemarca, Ecuador, Elvetia, Finlanda, Franta, Germania, Islanda, Italia, Malaezia, Marea Britanie, Mexic, Norvegia, Peru, Romania, Slovenia, Spania, SUA, Turcia
Proazitax Brazilia
Xatiza Chilli
Zitat Argentina
Bibliografie   Injectabil   Bibliografie : Cabazitaxel  

  Mentions Légales