Última actualización :
27/01/2026
Antibiótico   Amoxicillin sodium / clavulanic acid  
Solución Oral
Inyectables
La estabilidad de las preparaciones farmacéuticas Estabilidad en mezcla Factores que influyen sobre la estabilidad Compatibilidades Bibliografía pdf
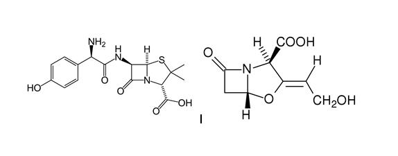
   Estructura química  

Solución Oral
Compatibilidades   Solución Oral   Compatibilidades : Amoxicillin sodium / clavulanic acid              
Ausencia de datos

  Mentions Légales