Viimeisin päivitys :
27/01/2026
Antibiootit   Amoxicillin sodium / clavulanic acid  
Oraaliliuos
Injektioneste
Vakaus lääkevalmisteen Stabilius seoksissa Tekijät, jotka vaikuttavat stabiliuteen Yhteensopivuus Viitteet pdf
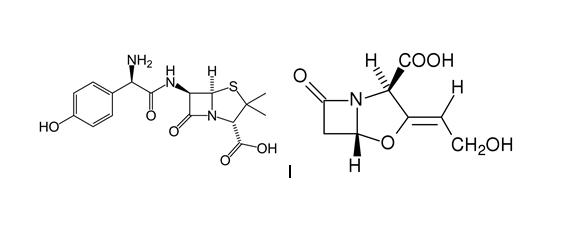
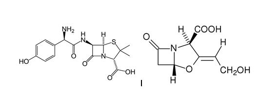
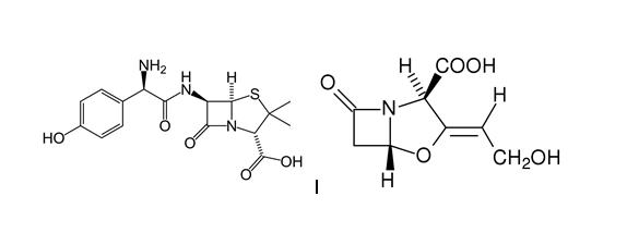
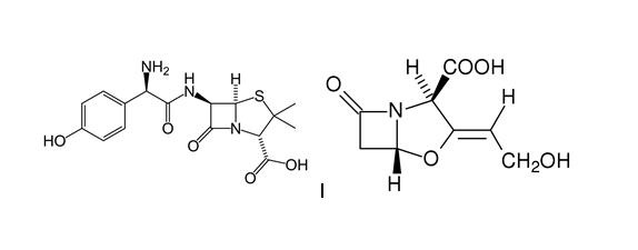
   Kemiallinen rakenne  

Oraaliliuos
Yhteensopivuus   Oraaliliuos   Yhteensopivuus : Amoxicillin sodium / clavulanic acid              
ei tietoa

  Mentions Légales