Utolsó frissítés :
27/01/2026
Antibiotikum   Amoxicillin sodium / clavulanic acid  
belsőleges oldat
Injekció
Stabilitása gyógyszerészeti készítmények A keverékek stabilitása Stabilitást befolyásoló tényezők Kompatibilitás Irodalom pdf
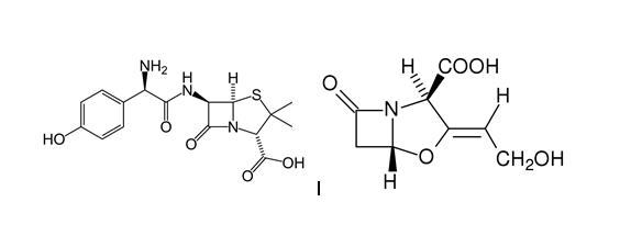
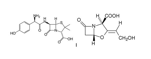
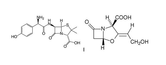
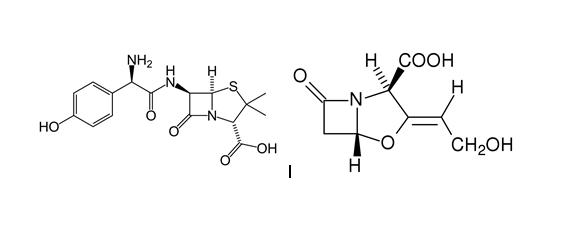
   Kémiai szerkezet   

belsőleges oldat
Kompatibilitás   belsőleges oldat   Kompatibilitás : Amoxicillin sodium / clavulanic acid              
Hiányzó adat

  Mentions Légales