Laatste update :
27/01/2026
Antibioticum   Amoxicillin sodium / clavulanic acid  
Orale Oplossing
injecteerbaar geneesmiddel
Stabiliteit van farmaceutische preparaten Stabiliteit in mengsels Factoren die de stabiliteit beïnvloeden Verenigbaarheden Literatuur pdf
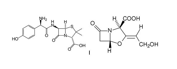
   Molecuulstructuur  

Orale Oplossing
Verenigbaarheden   Orale Oplossing   Verenigbaarheden : Amoxicillin sodium / clavulanic acid              
geen gegevens

  Mentions Légales