Ultimo aggiornamento :
27/01/2026
Antibiotico   Amoxicillin sodium / clavulanic acid  
Soluzione orale
Iniezione
Stabilità dei preparati farmaceutici Stabilità in miscela Fattori che influenzano la stabilità Compatibilità Bibliografia pdf
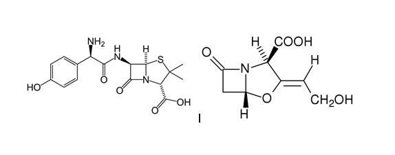
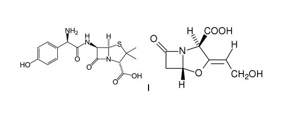
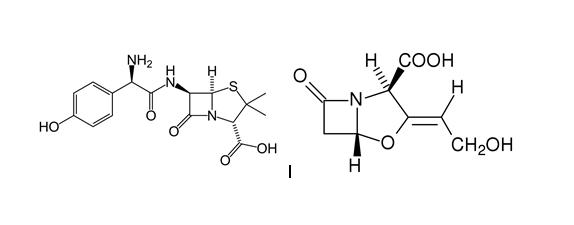
   Struttura chimica  

Soluzione orale
Compatibilità   Soluzione orale   Compatibilità : Amoxicillin sodium / clavulanic acid              
Assenza di dati

  Mentions Légales