Letztes “update” :
27/01/2026
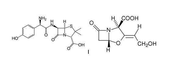
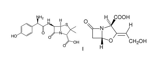
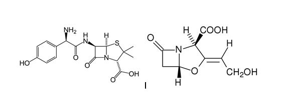
Antibiotikum   Amoxicillin sodium / clavulanic acid  
Lösung zum Einnehmen
Injektion
Stabilität von pharmazeutischen Präparaten Gemengestabilität Stabilitätbeeinflussende Faktoren Kompatibilitäten Literaturverzeichnis pdf
   Chemische Struktur  

Lösung zum Einnehmen
Kompatibilitäten   Lösung zum Einnehmen   Kompatibilitäten : Amoxicillin sodium / clavulanic acid              
Keine Daten

  Mentions Légales