Ostatnia aktualizacja :
27/01/2026
Antybiotyk   Amoxicillin sodium / clavulanic acid  
Roztwór doustny
Injekcje
Stabilność preparatów farmaceutycznych Trwałość w mieszaninie Czynnik wpływający na trwałość Zgodność Bibliografia pdf
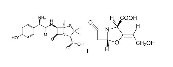
   Struktura chemiczna  

Roztwór doustny
Zgodność   Roztwór doustny   Zgodność : Amoxicillin sodium / clavulanic acid              
Brak danych

  Mentions Légales