Τελευταία ενημέρωση :
27/01/2026
Αντιβιοτικό   Amoxicillin sodium / clavulanic acid  
Πόσιμο διάλυμα
Ενέσιμο
Σταθερότητα και συμβατότητα των φαρμάκων Σταθερότητα σε μίγματα Παράγοντας που επηρεάζει τη σταθερότητα Συμβατότητες Βιβλιογραφία pdf
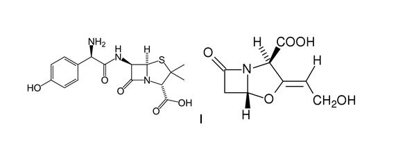
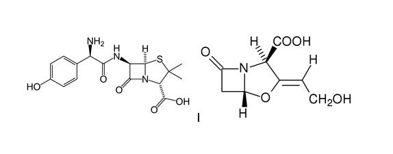
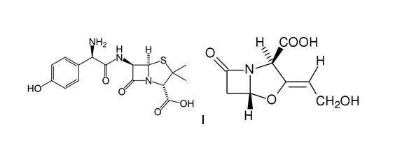
   χημική δομή  

Πόσιμο διάλυμα
Συμβατότητες    Πόσιμο διάλυμα   Συμβατότητες : Amoxicillin sodium / clavulanic acid              
Δεν υπάρχουν πληροφορίες

  Mentions Légales