Última actualização :
27/01/2026
Infostab
Lista de compostos
Listas de leitura dos resumos de informação
Pesquise compatibilidades
Tabela de compatibilidade do site Y
Bibliografía
As equipas de investigação
valistab
poster
Conexões
patrocinadores
Autores
Manual do utilizador
Boletim de notícias
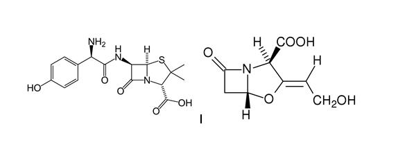
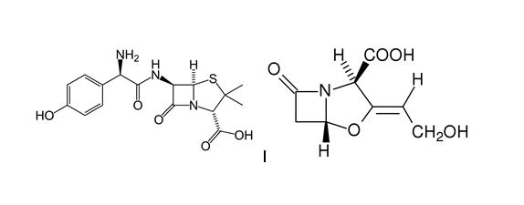
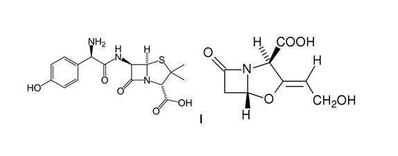
Amoxicillin sodium / clavulanic acid
estrutura química
Compatibilidade : Amoxicillin sodium / clavulanic acid
Ausência de dados
Mentions Légales