Zadnji put ažurirano :
27/01/2026
antibiotik   Amoxicillin sodium / clavulanic acid  
oralna otopina
injekcija
Stabilnost farmaceutskih pripravaka Stabilnost mješavine Stabilizacijski faktor Kompatibilnosti Bibliografija pdf
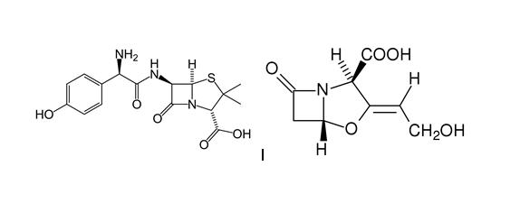
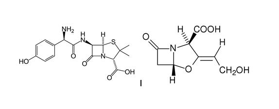
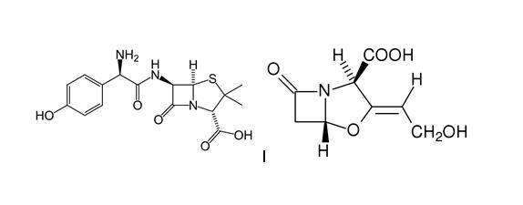
   Kemijska struktura  

oralna otopina
Kompatibilnosti   oralna otopina     Kompatibilnosti : Amoxicillin sodium / clavulanic acid              
bez podataka

  Mentions Légales