Pēdējā atjaunošana :
27/01/2026
Antibiotika   Amoxicillin sodium / clavulanic acid  
Orāls šķīdums
Injekcija
Stabilitāte farmaceitisko preparātu Maisījuma stabilitāte Stabilitāti ietekmējoši faktori Saderība Literatūras saraksts pdf
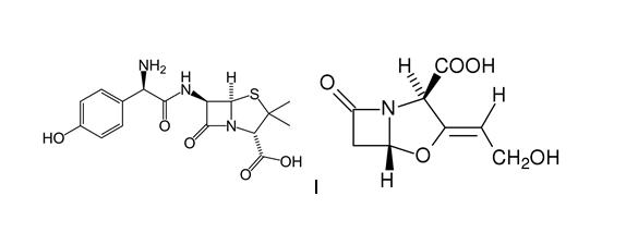
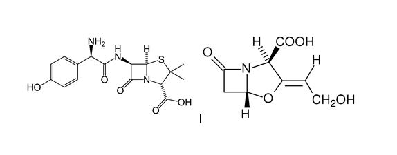
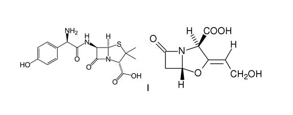
   Ķīmiskā uzbūve   

Orāls šķīdums
Saderība   Orāls šķīdums   Saderība : Amoxicillin sodium / clavulanic acid              
Nav datu

  Mentions Légales