Poslední aktualizace :
27/01/2026
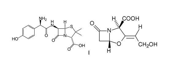
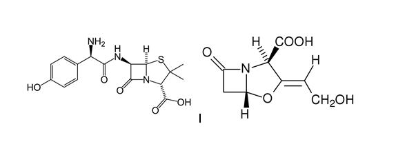
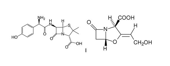
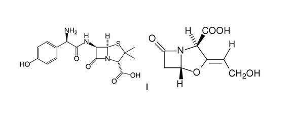
Antibiotikum   Amoxicillin sodium / clavulanic acid  
Perorální roztok
injekce
Stabilita farmaceutických přípravků Stabilita směsí Faktory ovlivňující stabilitu Kompatibilita Odkazy pdf
   Chemický vzorec  

Perorální roztok
Kompatibilita   Perorální roztok   Kompatibilita : Amoxicillin sodium / clavulanic acid              
žádná data

  Mentions Légales