Senaste uppdateringen :
27/01/2026
Diverse   Baclofen  
Oral lösning
injektion Salvor
Stabilitet av läkemedel Stabilitet i blandningar Faktorer som påverkar stabiliteten Kompatibilitet Hänvisningar pdf
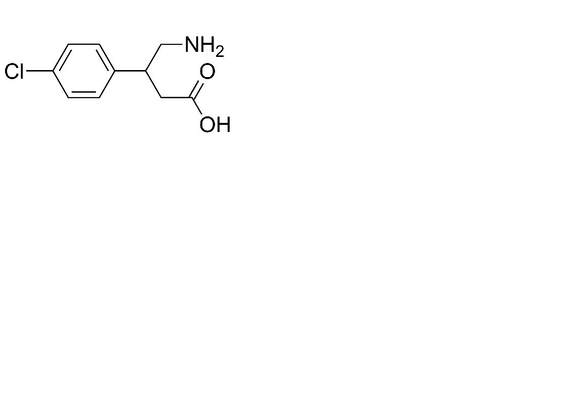
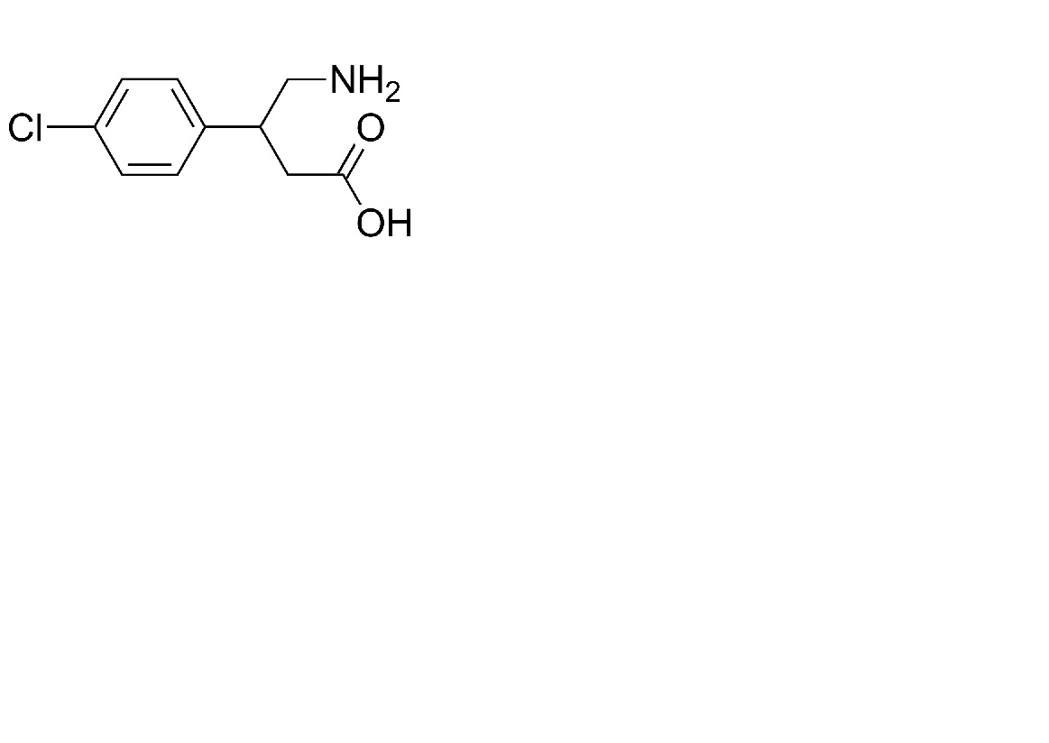
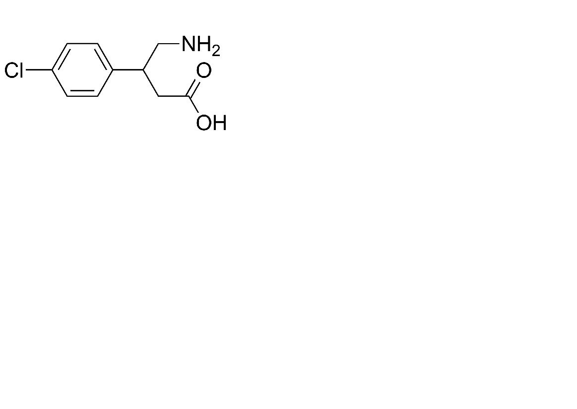
   Molekylstruktur  

Oral lösning

Faktorer som påverkar stabiliteten   Oral lösning   Faktorer som påverkar stabiliteten : Baclofen        
Ingen uppgift

  Mentions Légales