Viimeisin päivitys :
27/04/2026
Muut   Baclofen  
Oraaliliuos
Injektioneste Salvat
Vakaus lääkevalmisteen Stabilius seoksissa Tekijät, jotka vaikuttavat stabiliuteen Yhteensopivuus Viitteet pdf
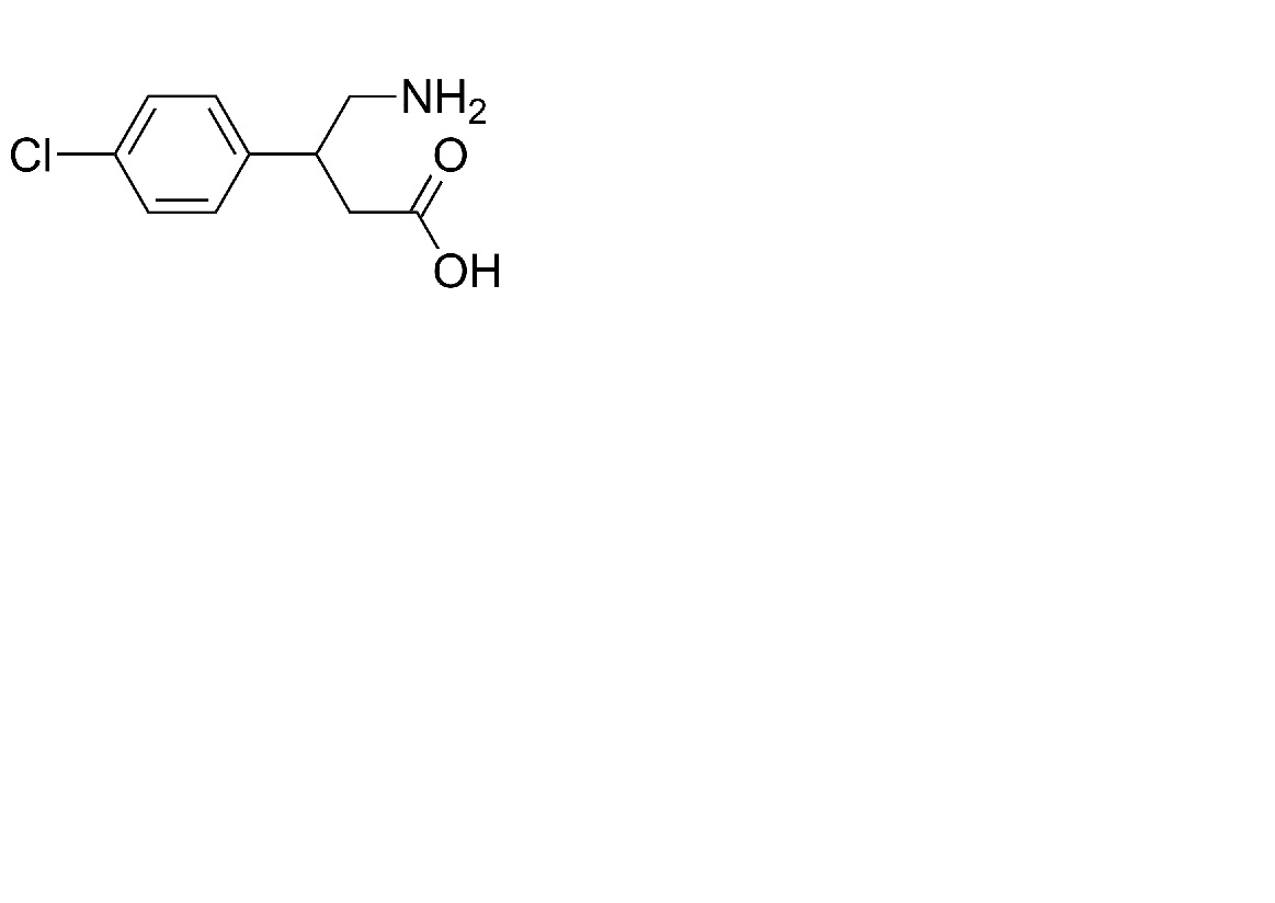
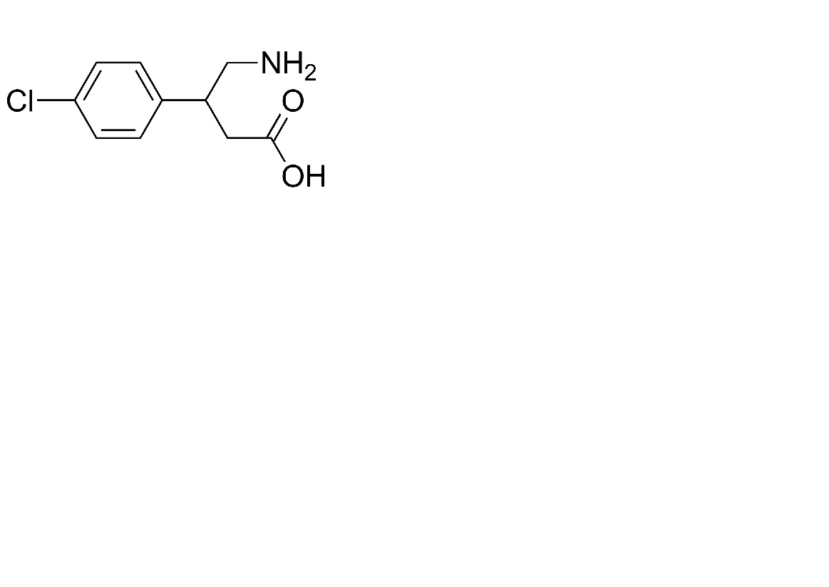
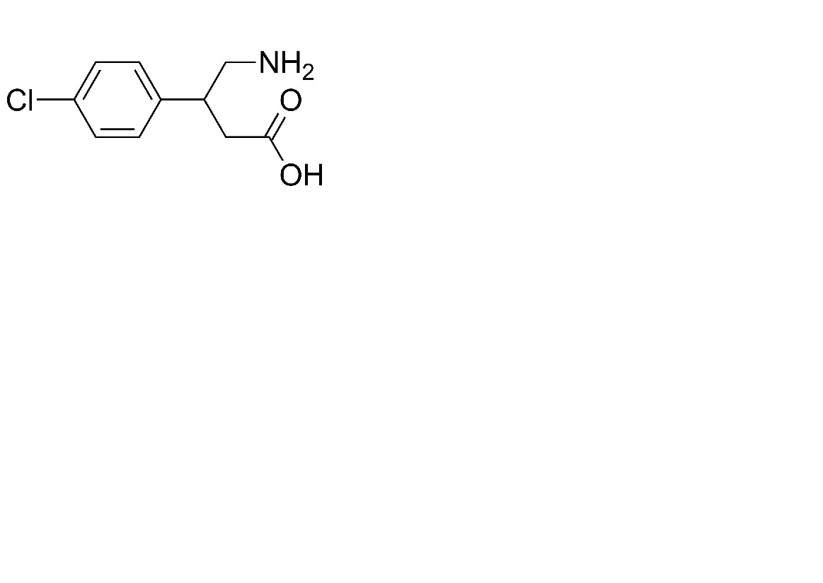
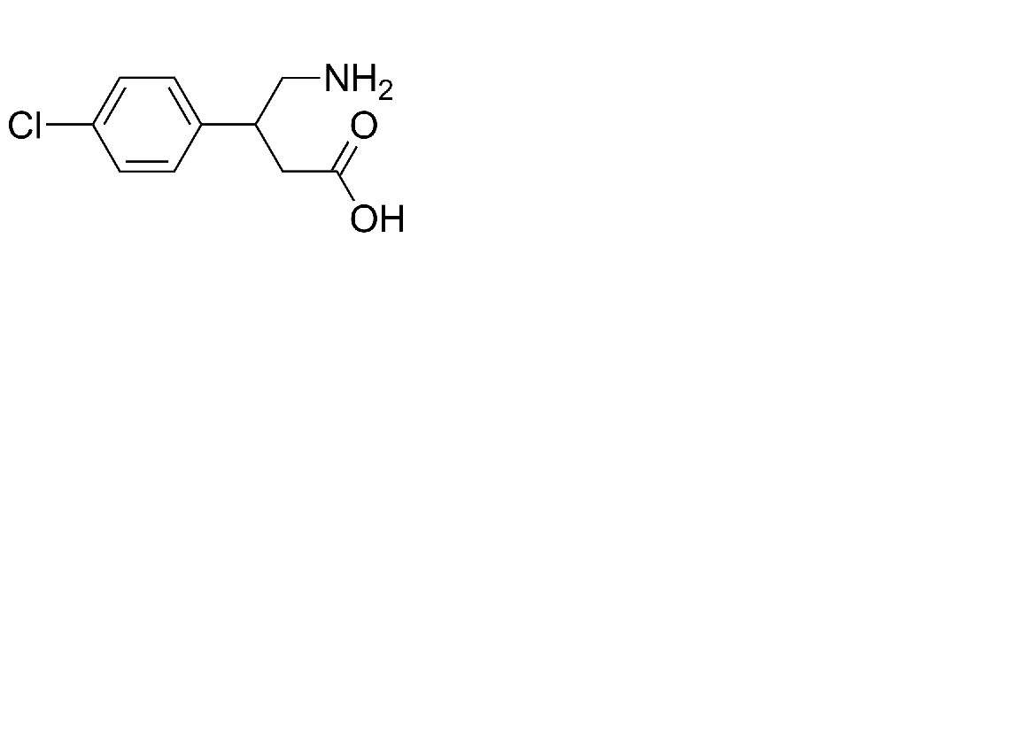
   Kemiallinen rakenne  

Oraaliliuos

Tekijät, jotka vaikuttavat stabiliuteen   Oraaliliuos   Tekijät, jotka vaikuttavat stabiliuteen : Baclofen        
ei tietoa

  Mentions Légales