Siste oppdatering :
27/01/2026
Forskjellig   Baclofen  
Mikstur
Injeksjon Salver
Stabilitet av farmasøytiske preparater Stabilitet i blandinger Faktorer som påvirker stabiliteten Kompatibilitet Referanser pdf
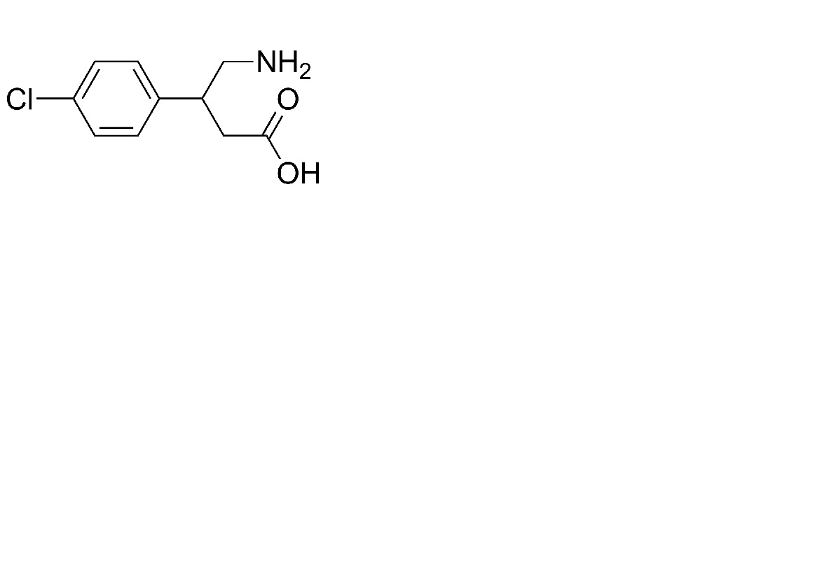
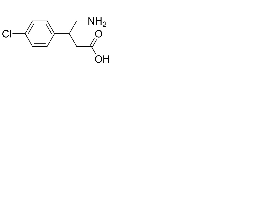
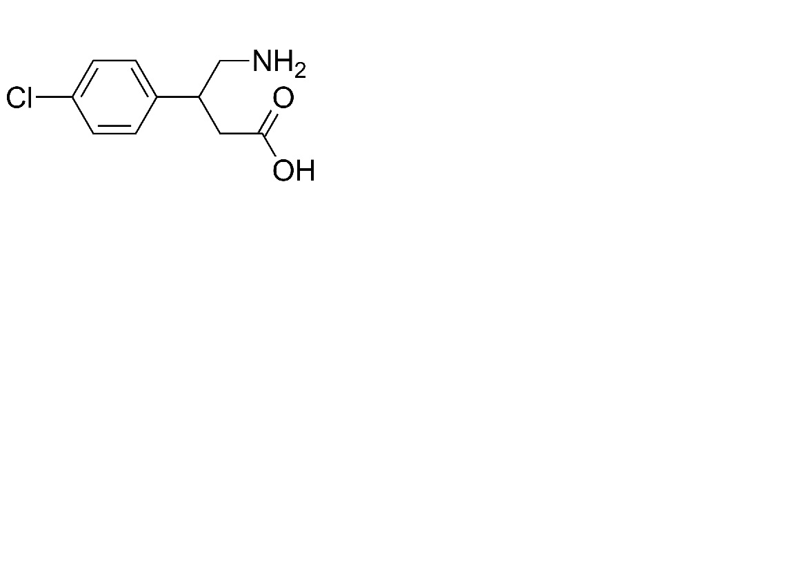
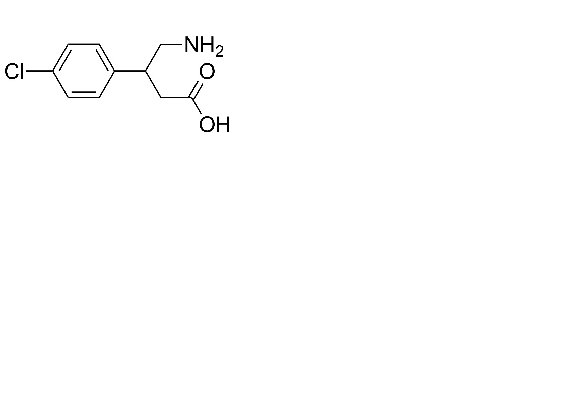
   Kjemisk struktur  

Mikstur

Faktorer som påvirker stabiliteten   Mikstur   Faktorer som påvirker stabiliteten : Baclofen        
Ingen opplysninger

  Mentions Légales