Ultimele actualizari :
27/04/2026
Diverse   Baclofen  
Soluţie orală
Injectabil Unguente
Stabilitatea preparatelor farmaceutice Stabilitatea in amestec Factorii care influenteaza stabilitatea Compatibilitate Bibliografie pdf
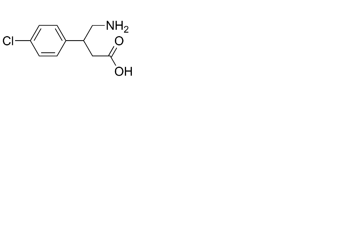
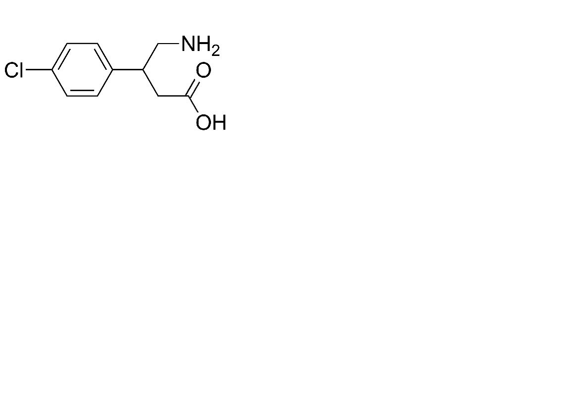
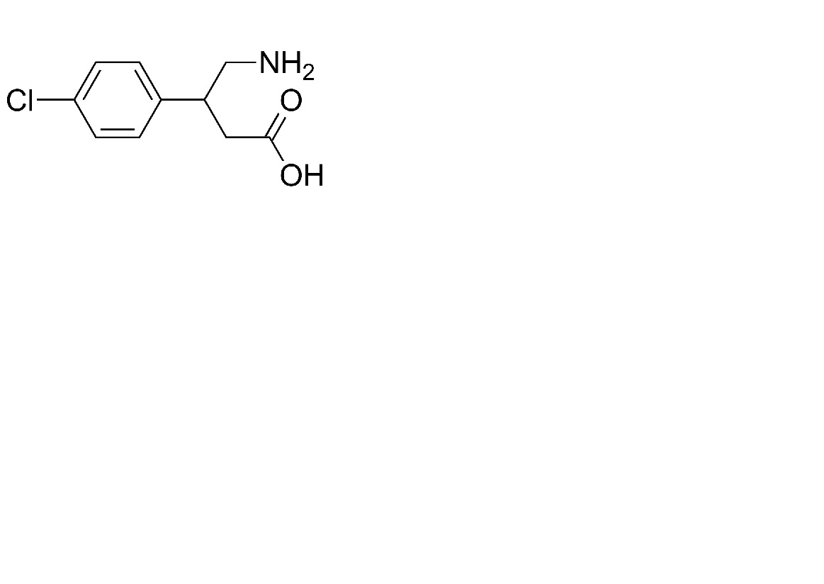
   Formula chimica  

Soluţie orală

Factorii care influenteaza stabilitatea   Soluţie orală   Factorii care influenteaza stabilitatea : Baclofen        
Absenta de date

  Mentions Légales