Ultimo aggiornamento :
27/04/2026
Altro   Baclofen  
Soluzione orale
Iniezione Unguenti
Stabilità dei preparati farmaceutici Stabilità in miscela Fattori che influenzano la stabilità Compatibilità Bibliografia pdf
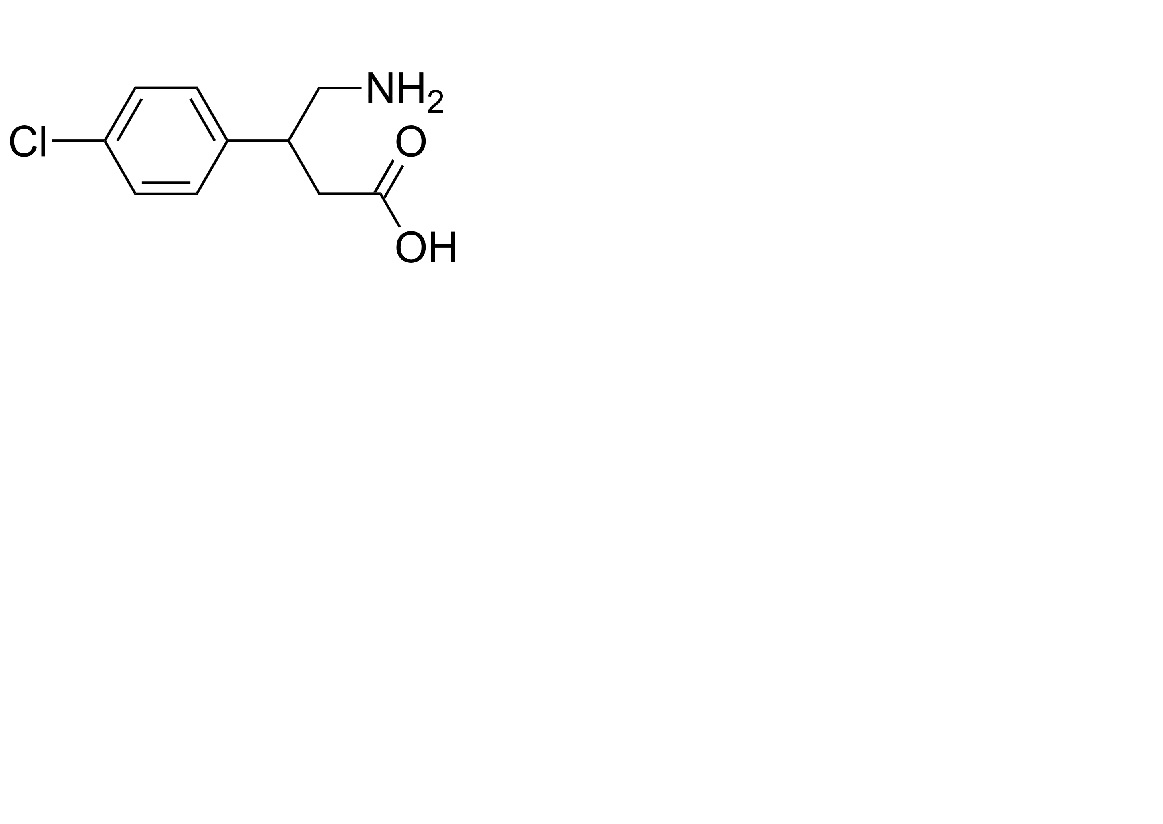
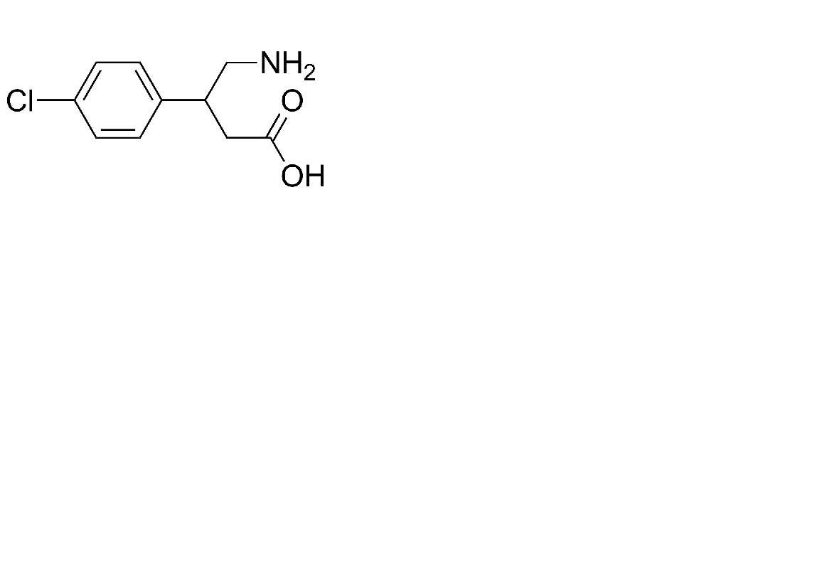
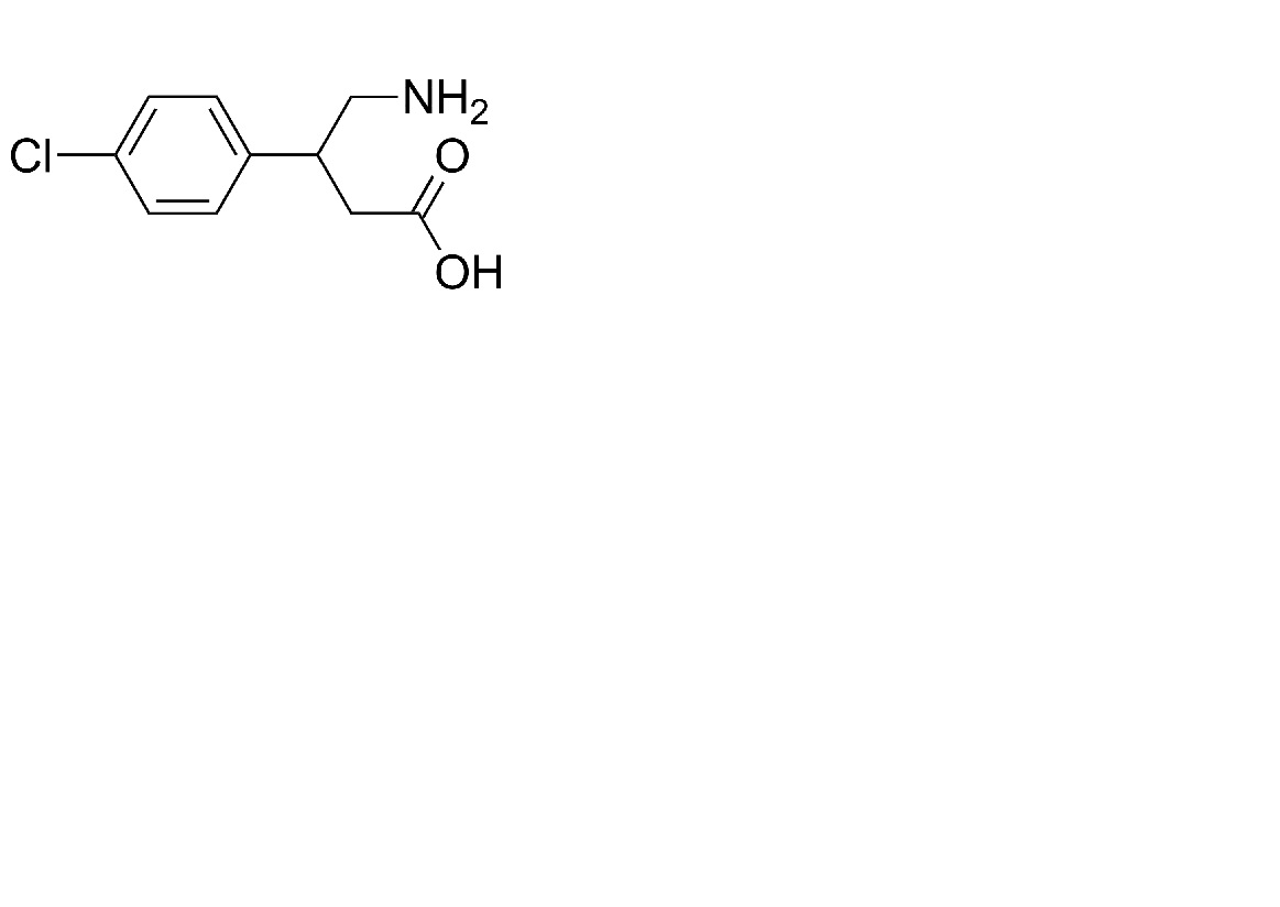
   Struttura chimica  

Soluzione orale

Fattori che influenzano la stabilità   Soluzione orale   Fattori che influenzano la stabilità : Baclofen        
Assenza di dati

  Mentions Légales