Τελευταία ενημέρωση :
27/01/2026
Λοιπά   Baclofen  
Πόσιμο διάλυμα
Αλοιφές Ενέσιμο
Σταθερότητα και συμβατότητα των φαρμάκων Σταθερότητα σε μίγματα Παράγοντας που επηρεάζει τη σταθερότητα Συμβατότητες Βιβλιογραφία pdf
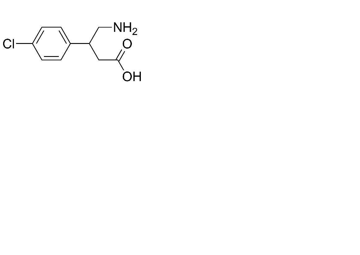
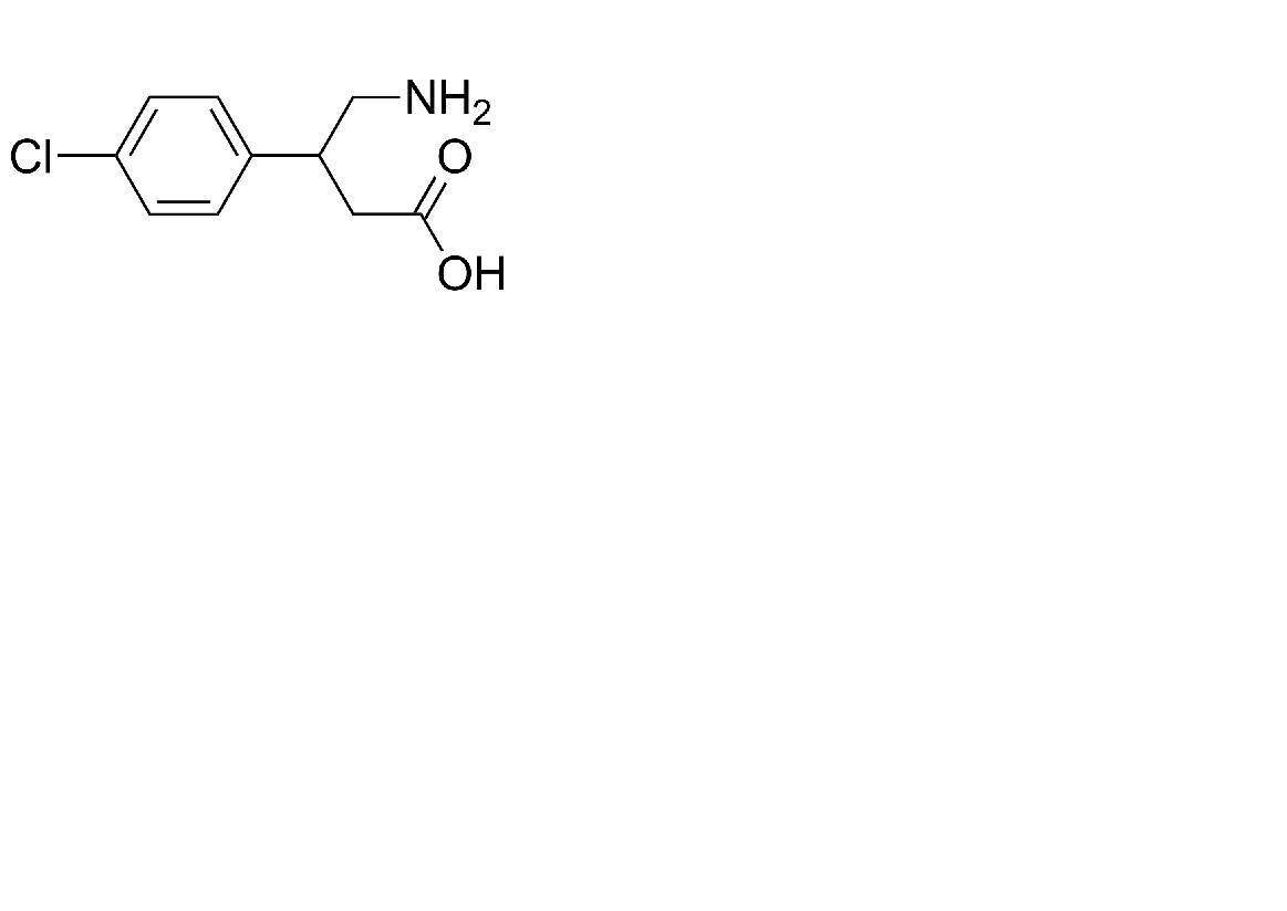
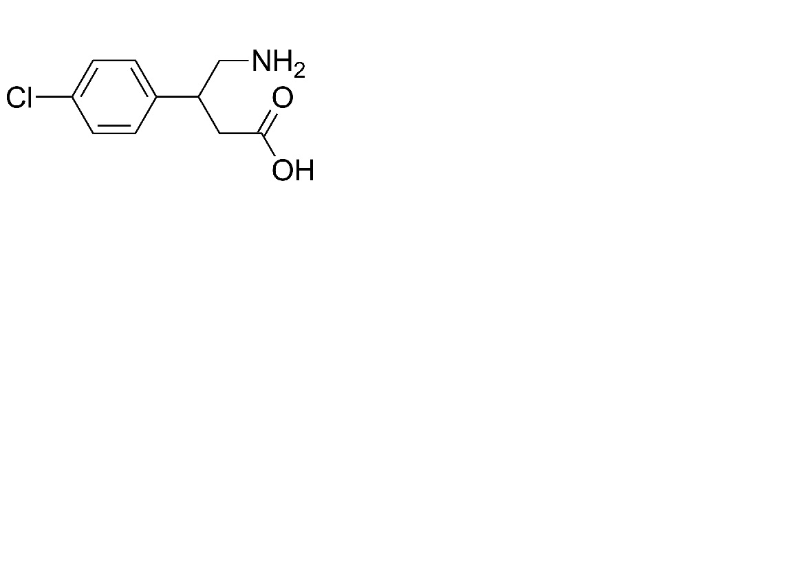
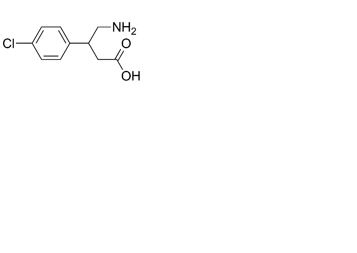
   χημική δομή  

Πόσιμο διάλυμα

Παράγοντας που επηρεάζει τη σταθερότητα   Πόσιμο διάλυμα   Παράγοντας που επηρεάζει τη σταθερότητα : Baclofen        
Δεν υπάρχουν πληροφορίες

  Mentions Légales