最新更新 :
27/04/2026
様々なもの   Baclofen  
経口液
注射薬 軟膏薬
調剤時の安定性 混合時の安定性 安定性に影響する因子 互換性 引用文献 PDF
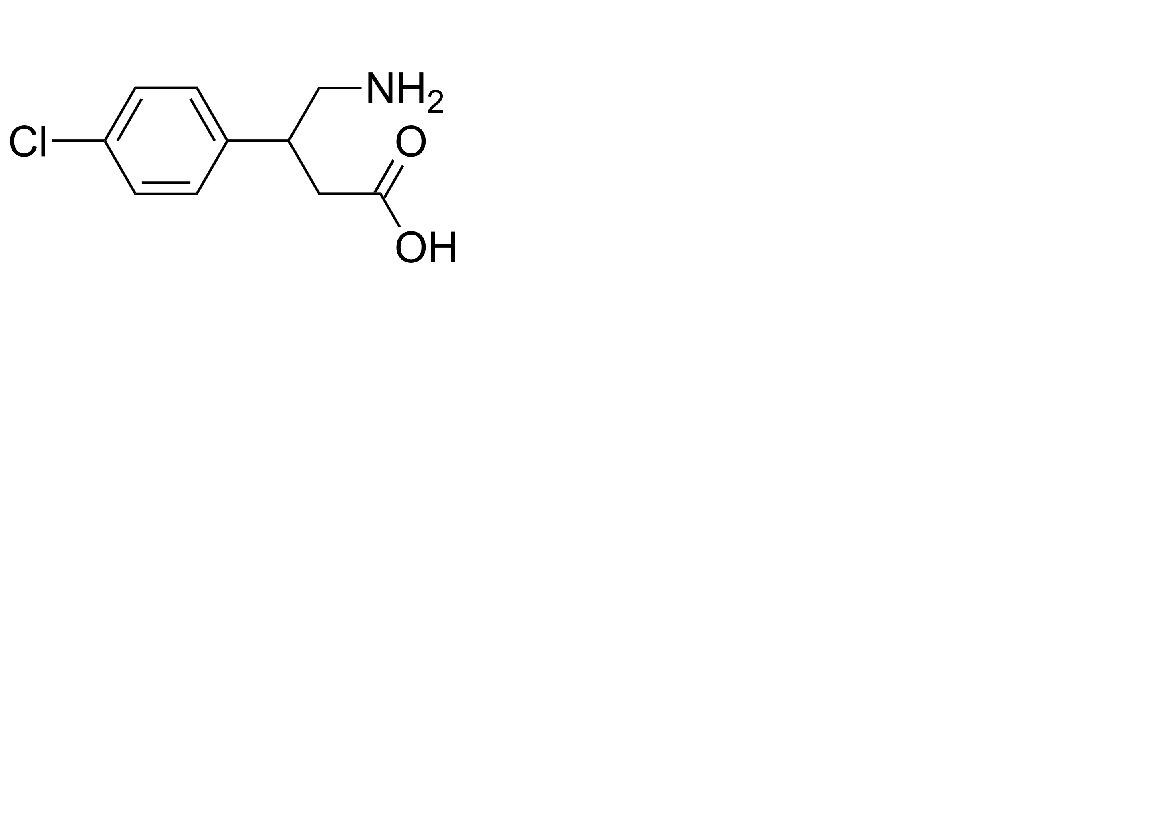
   化学構造  

経口液

安定性に影響する因子   経口液   安定性に影響する因子 : Baclofen        
データなし

  Mentions Légales