Laatste update :
27/01/2026
Diverse   Baclofen  
Orale Oplossing
injecteerbaar geneesmiddel zalf
Stabiliteit van farmaceutische preparaten Stabiliteit in mengsels Factoren die de stabiliteit beïnvloeden Verenigbaarheden Literatuur pdf
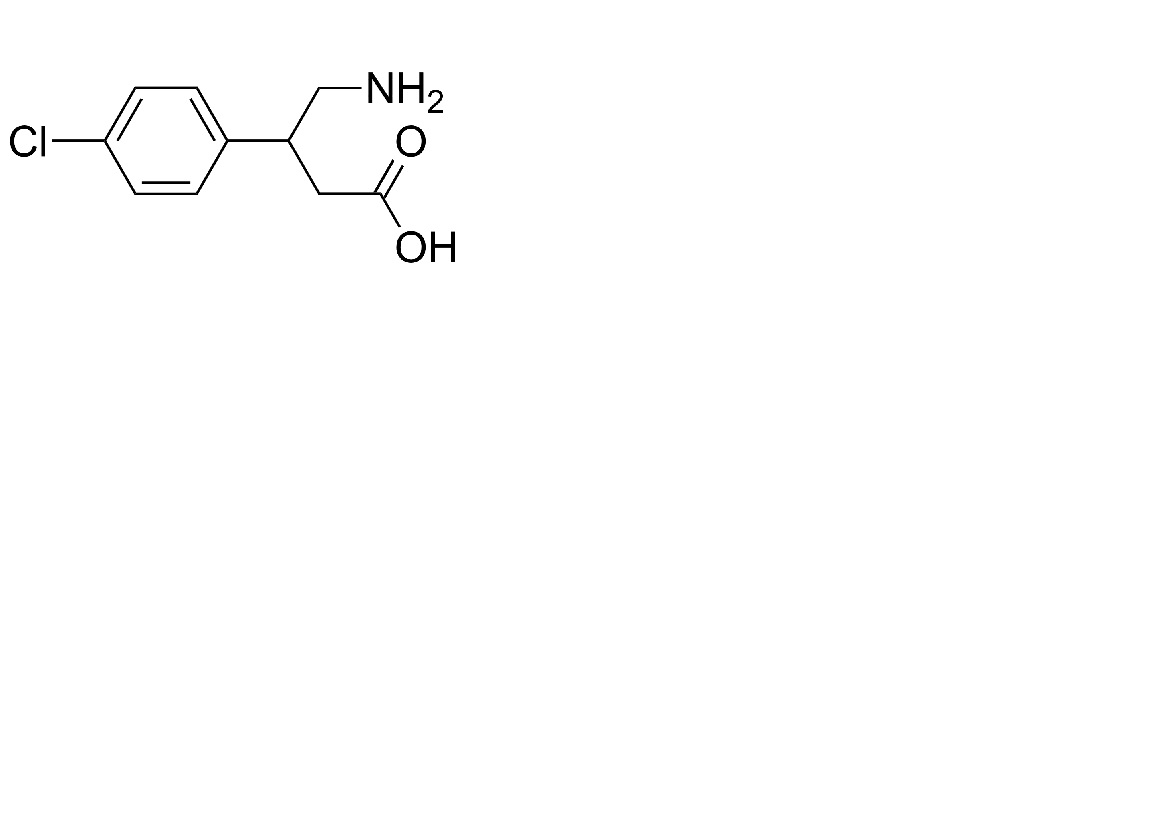
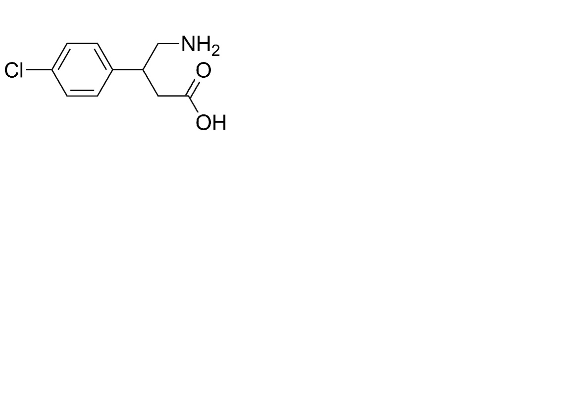
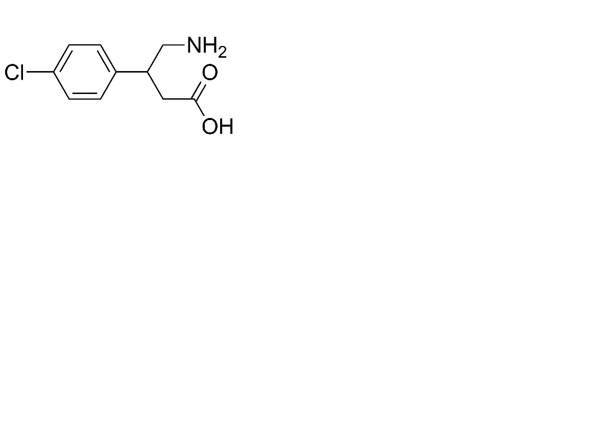
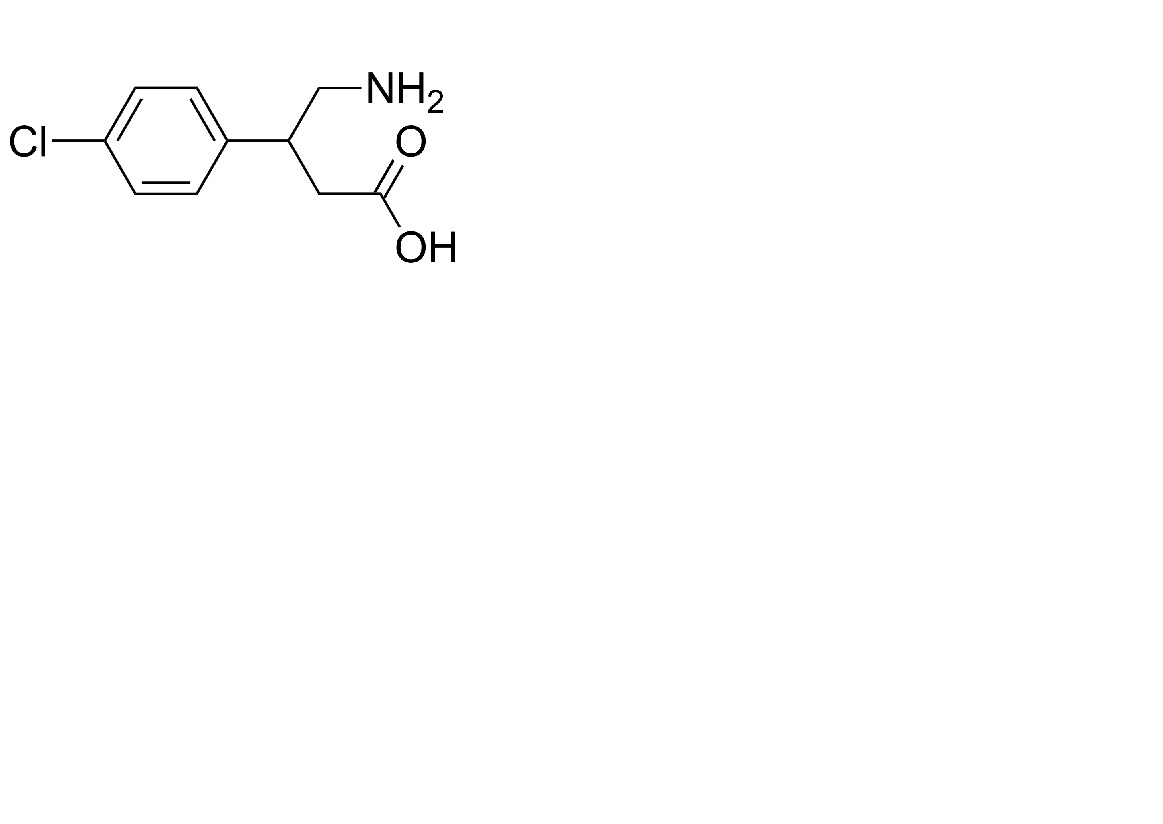
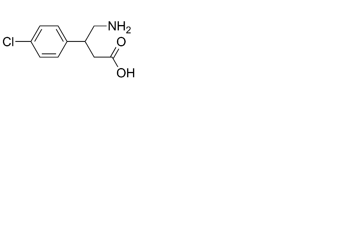
   Molecuulstructuur  

Orale Oplossing

Factoren die de stabiliteit beïnvloeden   Orale Oplossing   Factoren die de stabiliteit beïnvloeden : Baclofen        
geen gegevens

  Mentions Légales