Seneste opdatering :
27/01/2026
Diverse   Baclofen  
Oral opløsning
Injektion Salver
Stabilitet af farmaceutiske tilberedninger Stabilitet i blandinger Faktorer der påvirker stabiliteten Kompatibilitet Bibliografi pdf
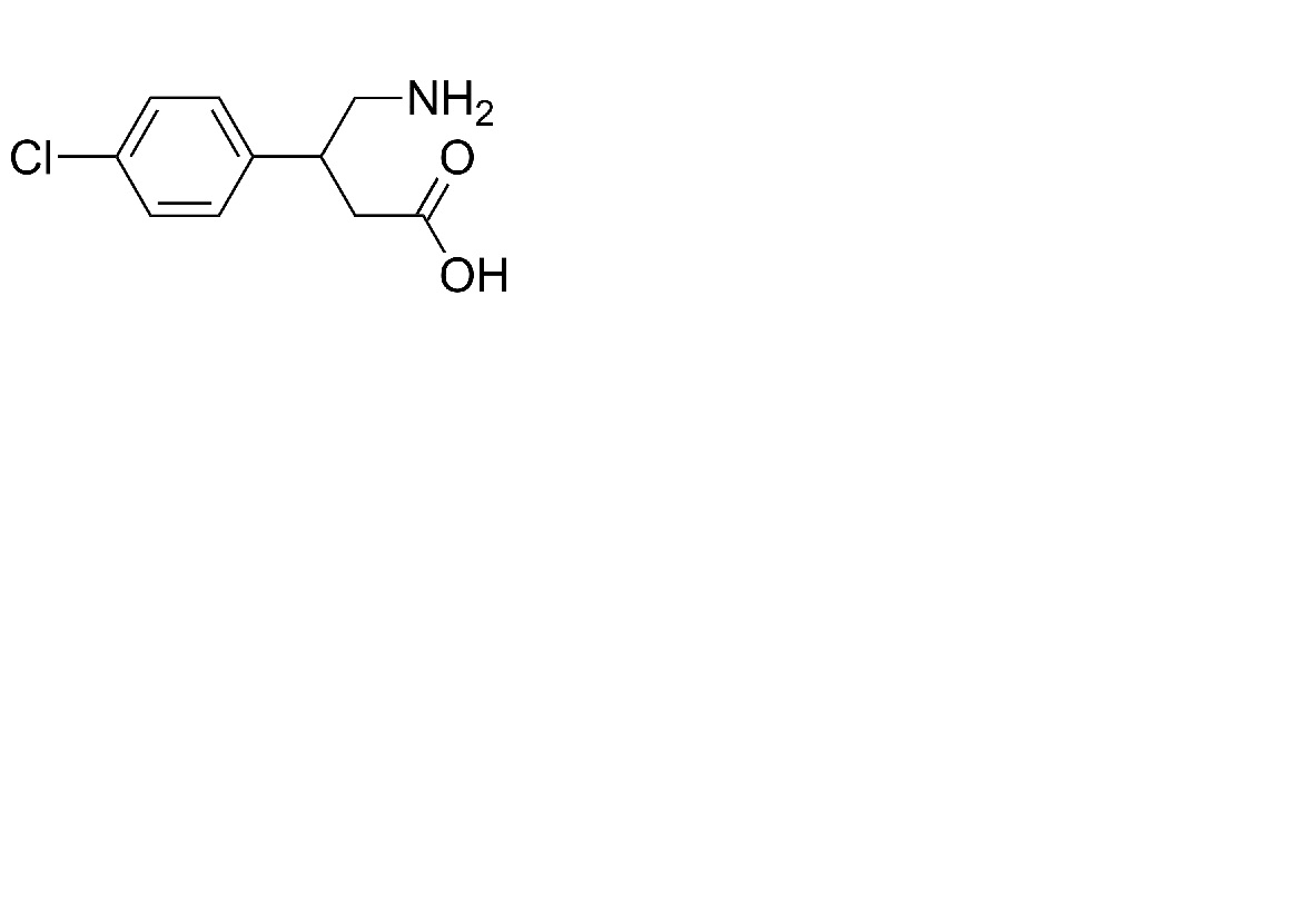
   Kemisk struktur  

Oral opløsning

Faktorer der påvirker stabiliteten   Oral opløsning   Faktorer der påvirker stabiliteten : Baclofen        
Ingen data

  Mentions Légales