Última actualização :
27/04/2026
Varios   Baclofen  
Solução Oral
injetável Pomadas
Estabilidade de preparações farmacêuticas Estabilidade em misturas Factores que afectam a sua estabilidade Compatibilidade Bibliografía pdf
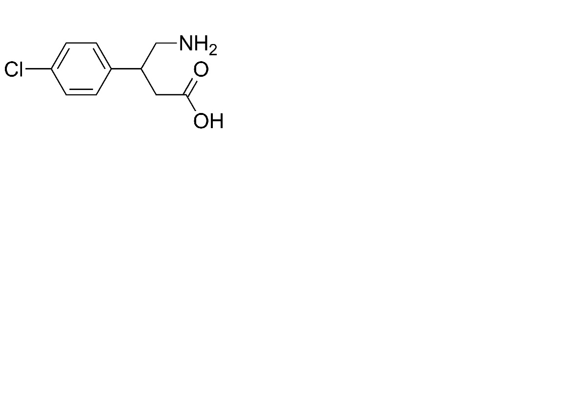
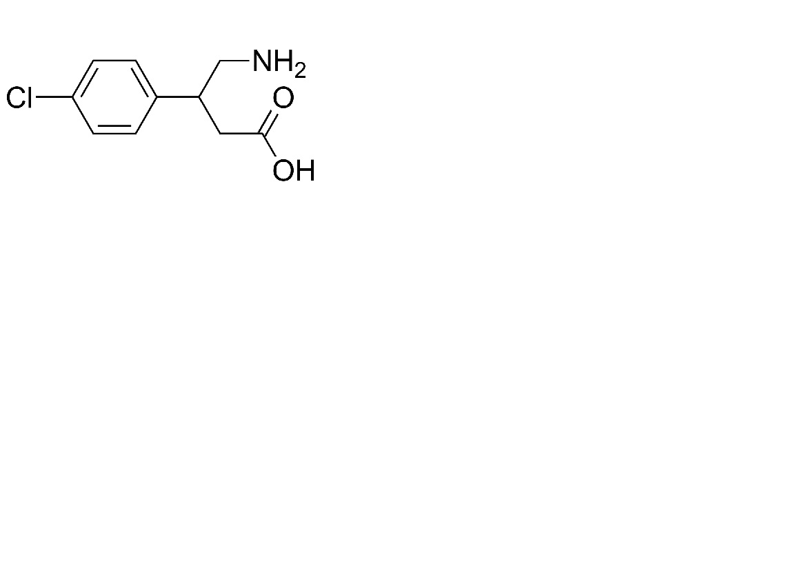
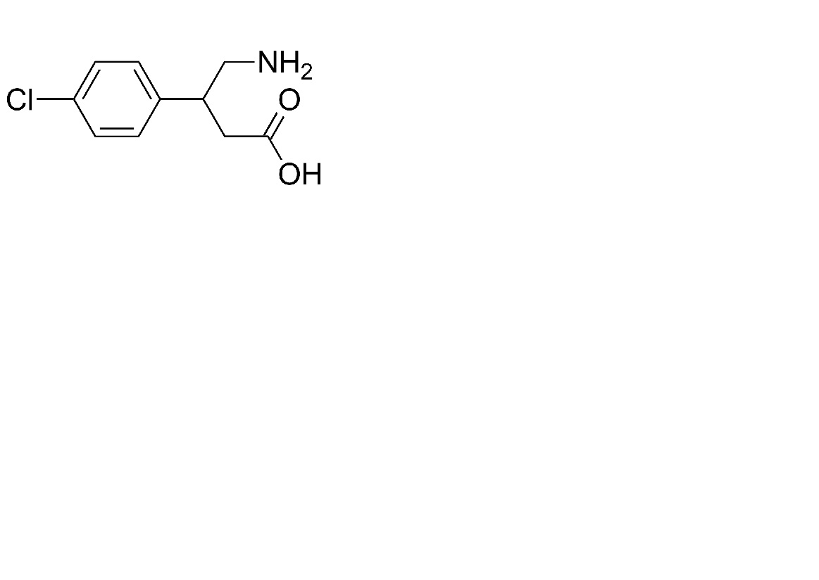
   estrutura química  

Solução Oral

Factores que afectam a sua estabilidade   Solução Oral   Factores que afectam a sua estabilidade : Baclofen        
Ausência de dados

  Mentions Légales