Last update :
27/01/2026
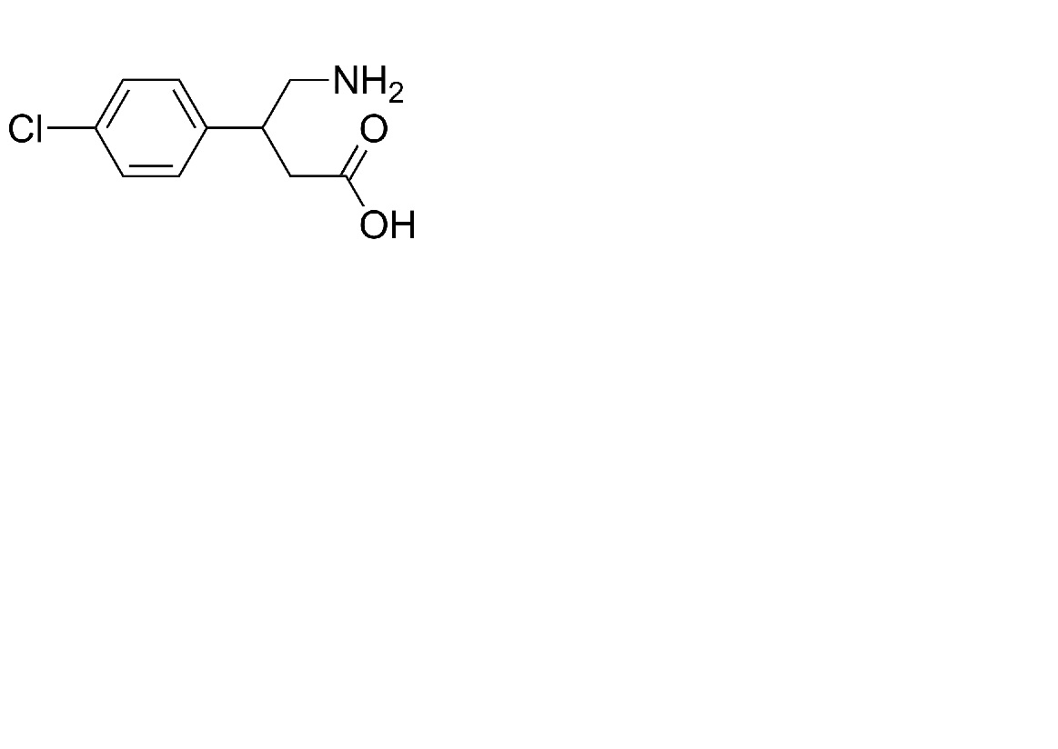
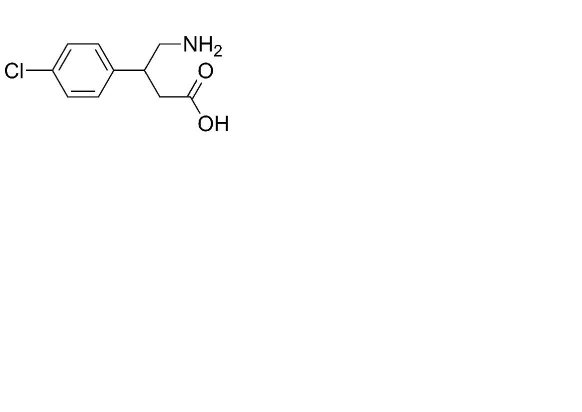
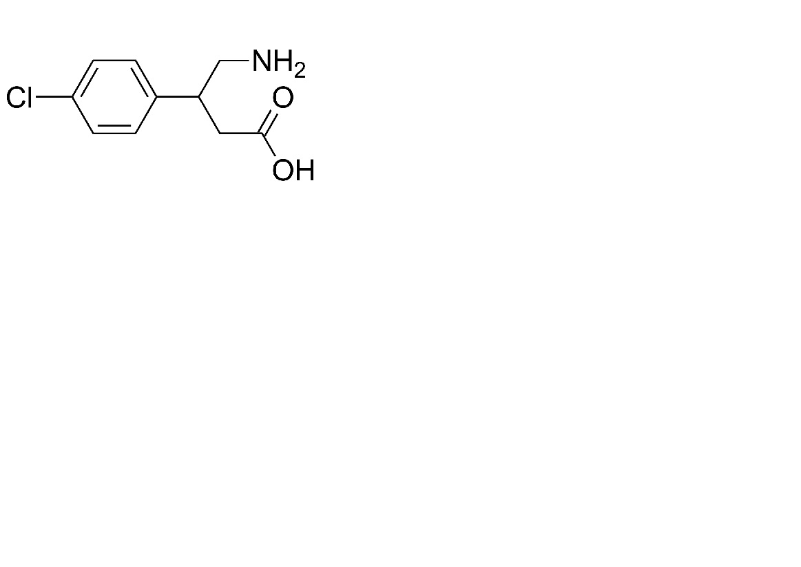
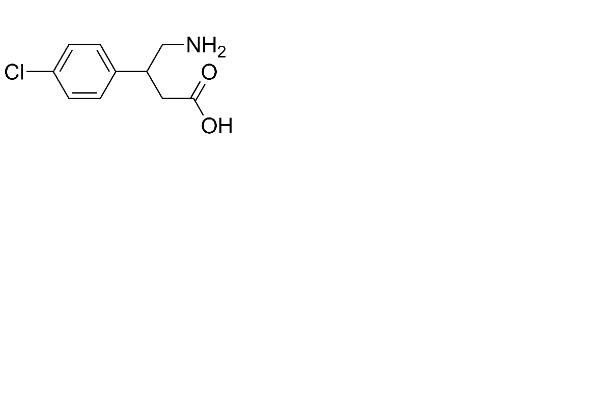
Various   Baclofen  
Oral solution
injection Ointments
Stability of pharmaceutical preparations Stability of mixtures Factors which affect stability Compatibility References pdf
   Chemical structure  

Oral solution

Factors which affect stability   Oral solution   Factors which affect stability : Baclofen        
No data

  Mentions Légales