Cập nhật lần cuối :
27/04/2026
Kháng sinh   Colistin mesilate sodium  
Khí dung
Dạng tiêm
Tính ổn định của các chế phẩm Độ ổn định khi trộn lẫn Những yếu tố ảnh hưởng đến độ ổn định Khả năng tương thích Tài liệu tham khảo Pdf
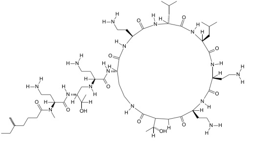
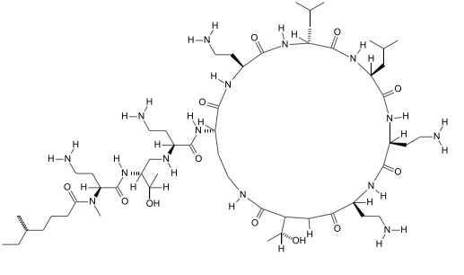
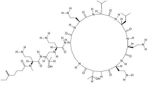
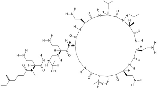
   Cấu trúc hóa học  

Khí dung

Những yếu tố ảnh hưởng đến độ ổn định   Khí dung   Những yếu tố ảnh hưởng đến độ ổn định : Colistin mesilate sodium        
Không có dữ liệu

  Mentions Légales