最新更新 :
21/01/2026
抗菌薬   Colistin mesilate sodium  
エアロゾル
注射薬
調剤時の安定性 混合時の安定性 安定性に影響する因子 互換性 引用文献 PDF
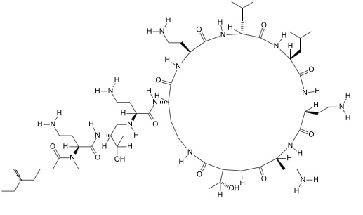
   化学構造  

エアロゾル

安定性に影響する因子   エアロゾル   安定性に影響する因子 : Colistin mesilate sodium        
データなし

  Mentions Légales