Seneste opdatering :
21/01/2026
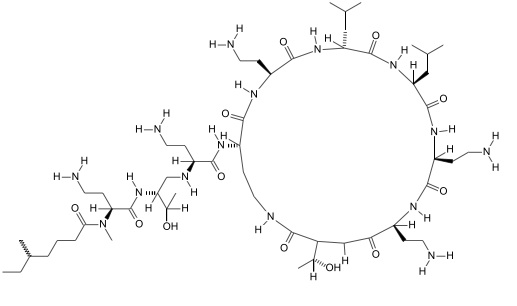
Antibiotisk   Colistin mesilate sodium  
Aerosol
Injektion
Stabilitet af farmaceutiske tilberedninger Stabilitet i blandinger Faktorer der påvirker stabiliteten Kompatibilitet Bibliografi pdf
   Kemisk struktur  

Aerosol

Faktorer der påvirker stabiliteten   Aerosol   Faktorer der påvirker stabiliteten : Colistin mesilate sodium        
Ingen data

  Mentions Légales