Siste oppdatering :
27/04/2026
Antibiotika   Colistin mesilate sodium  
Aerosol
Injeksjon
Stabilitet av farmasøytiske preparater Stabilitet i blandinger Faktorer som påvirker stabiliteten Kompatibilitet Referanser pdf
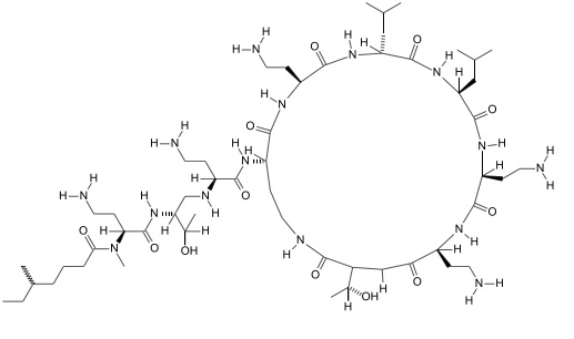
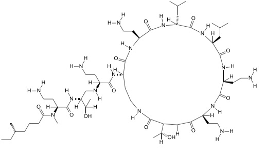
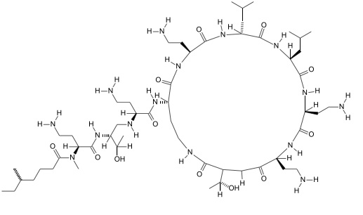
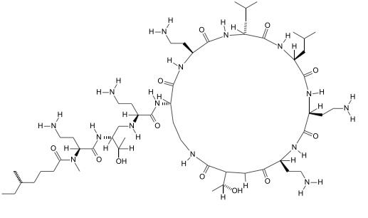
   Kjemisk struktur  

Aerosol

Faktorer som påvirker stabiliteten   Aerosol   Faktorer som påvirker stabiliteten : Colistin mesilate sodium        
Ingen opplysninger

  Mentions Légales