Останнє оновлення :
27/04/2026
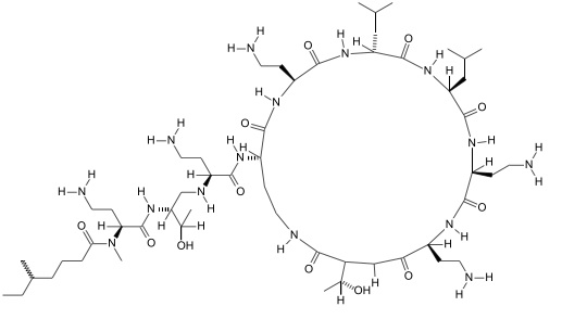
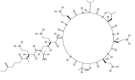
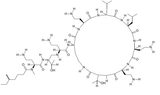
Антибіотик   Colistin mesilate sodium  
аерозоль
ін'єкція
Стабільність фармацевтичних препаратів Стійкість сумішей Фактори, що впливають на стабільність Сумісність Список літератури pdf
   Хімічна структура  

аерозоль

Фактори, що впливають на стабільність   аерозоль   Фактори, що впливають на стабільність : Colistin mesilate sodium        
7 / 5 000 Résultats de traduction Немає даних

  Mentions Légales