Zadnji put ažurirano :
27/04/2026
antibiotik   Colistin mesilate sodium  
aerosol
injekcija
Stabilnost farmaceutskih pripravaka Stabilnost mješavine Stabilizacijski faktor Kompatibilnosti Bibliografija pdf
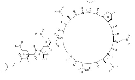
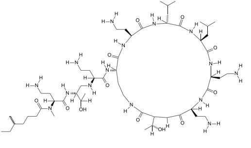
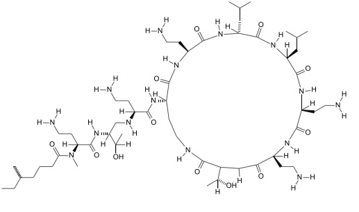
   Kemijska struktura  

aerosol

Stabilizacijski faktor   aerosol   Stabilizacijski faktor : Colistin mesilate sodium        
bez podataka

  Mentions Légales