Last update :
27/04/2026
Antibiotic   Colistin mesilate sodium  
aerosol
injection
Stability of pharmaceutical preparations Stability of mixtures Factors which affect stability Compatibility References pdf
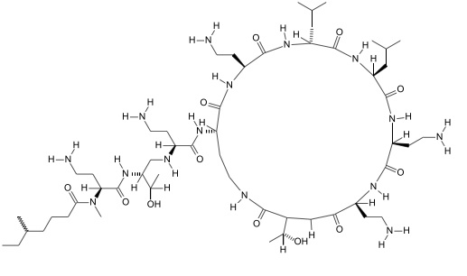
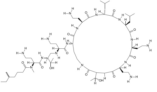
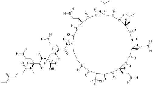
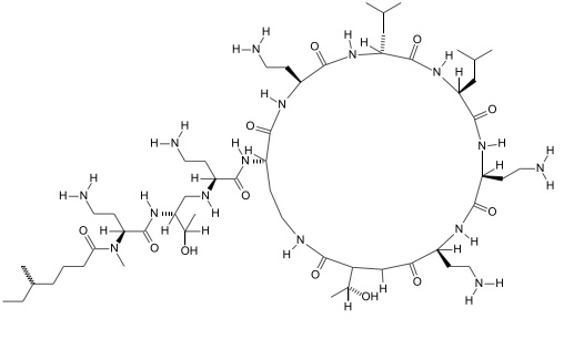
   Chemical structure  

aerosol

Factors which affect stability   aerosol   Factors which affect stability : Colistin mesilate sodium        
No data

  Mentions Légales