Poslední aktualizace :
27/04/2026
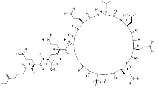
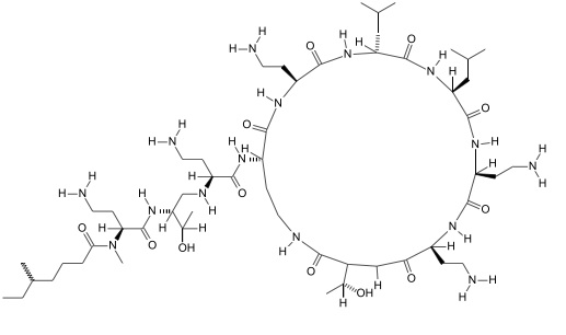
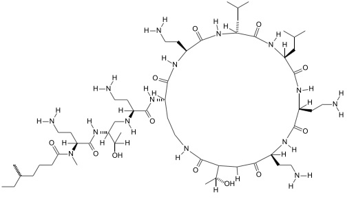
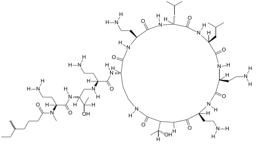
Antibiotikum   Colistin mesilate sodium  
Aerosol
injekce
Stabilita farmaceutických přípravků Stabilita směsí Faktory ovlivňující stabilitu Kompatibilita Odkazy pdf
   Chemický vzorec  

Aerosol

Faktory ovlivňující stabilitu   Aerosol   Faktory ovlivňující stabilitu : Colistin mesilate sodium        
žádná data

  Mentions Légales