Utolsó frissítés :
27/04/2026
Antibiotikum   Colistin mesilate sodium  
aeroszol
Injekció
Stabilitása gyógyszerészeti készítmények A keverékek stabilitása Stabilitást befolyásoló tényezők Kompatibilitás Irodalom pdf
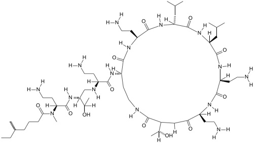
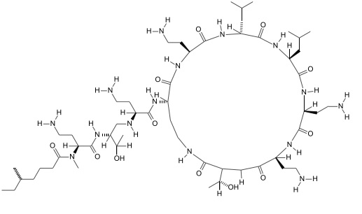
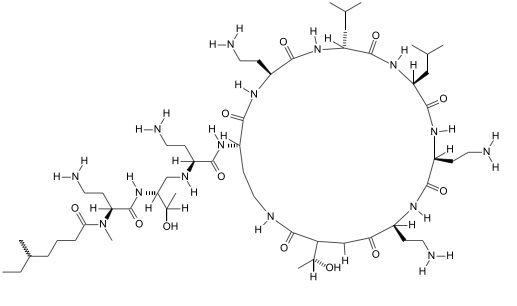
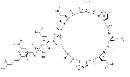
   Kémiai szerkezet   

aeroszol

Stabilitást befolyásoló tényezők   aeroszol   Stabilitást befolyásoló tényezők : Colistin mesilate sodium        
Hiányzó adat

  Mentions Légales