Son güncelleme :
21/01/2026
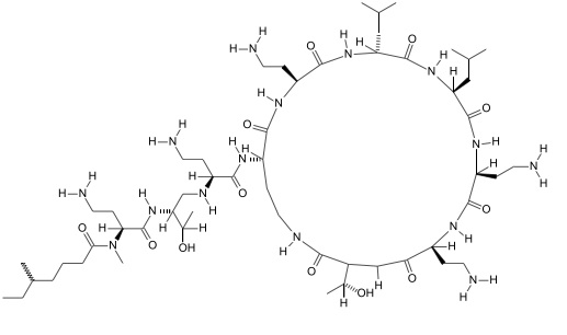
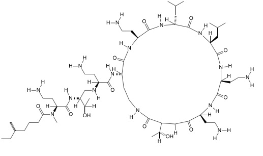
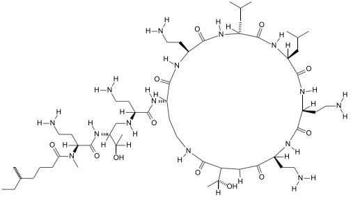
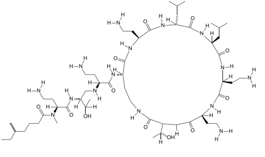
Antibiyotik   Colistin mesilate sodium  
Aerosol
Enjeksiyon
Farmasötik preparatlar Kararlılığı Karışımlardaki stabilitesi Stabiliteyi etkileyen faktörler Uyumluluk Kaynaklar pdf
   Kimyasal yapı   

Aerosol

Stabiliteyi etkileyen faktörler    Aerosol   Stabiliteyi etkileyen faktörler : Colistin mesilate sodium        
veri yok

  Mentions Légales