آخر تحديث :
21/01/2026
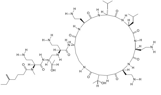
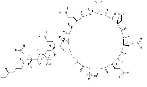
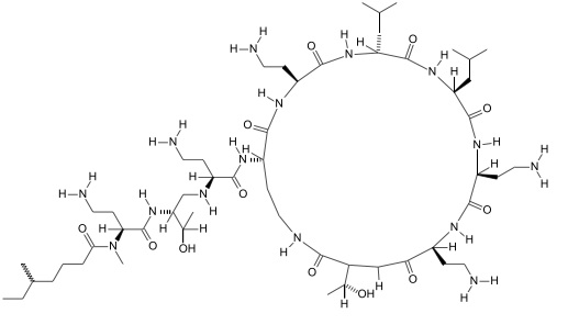
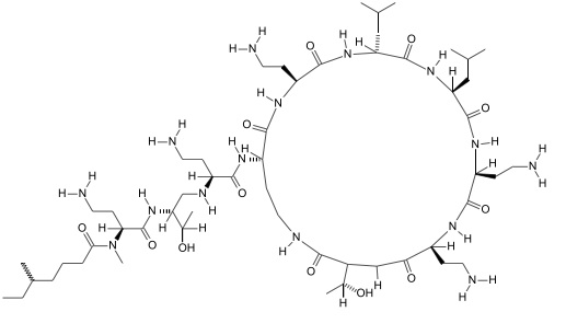
مضاد حيوي   Colistin mesilate sodium  
الأيروصولات
حقن
استقرار المستحضرات الصيدلانية استقرار مخاليط العوامل التي تؤثر على الاستقرار التوافق مراجع pdf
   التركيب الكيميائي  

الأيروصولات

العوامل التي تؤثر على الاستقرار   الأيروصولات   العوامل التي تؤثر على الاستقرار : Colistin mesilate sodium        
لا توجد بيانات

  Mentions Légales