Ultimele actualizari :
27/04/2026
Antibiotic   Colistin mesilate sodium  
Aerosol
Injectabil
Stabilitatea preparatelor farmaceutice Stabilitatea in amestec Factorii care influenteaza stabilitatea Compatibilitate Bibliografie pdf
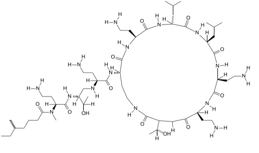
   Formula chimica  

Aerosol

Factorii care influenteaza stabilitatea   Aerosol   Factorii care influenteaza stabilitatea : Colistin mesilate sodium        
Absenta de date

  Mentions Légales