Son güncelleme :
27/04/2026
Antibiyotik   Daptomycin  
Enjeksiyon
Çözeltilerin stabilitesi Karışımlardaki stabilitesi Stabiliteyi etkileyen faktörler Uyumluluk Uygulama yöntemi Kaynaklar pdf
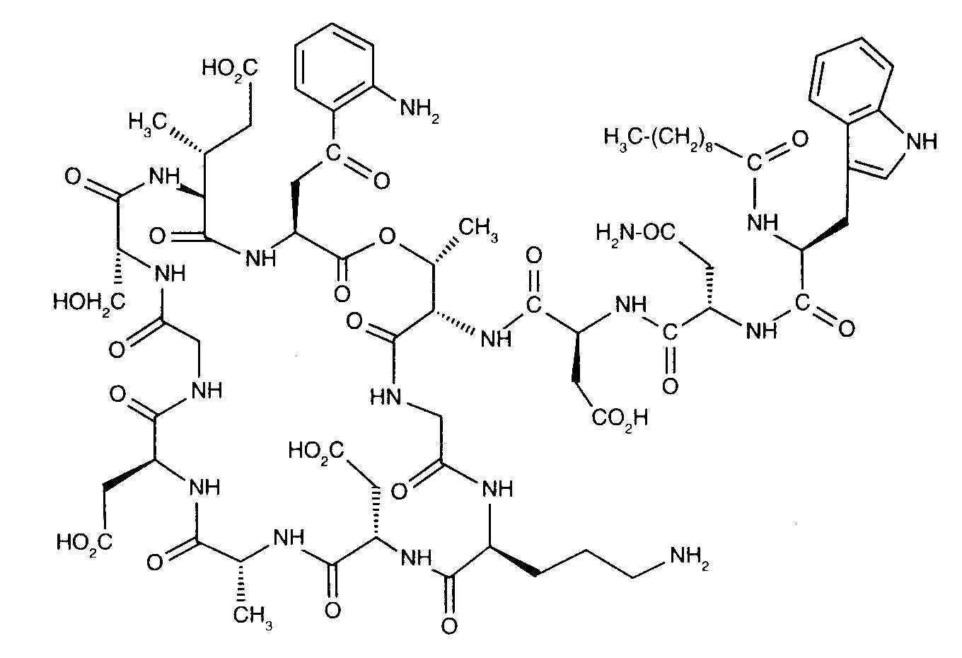
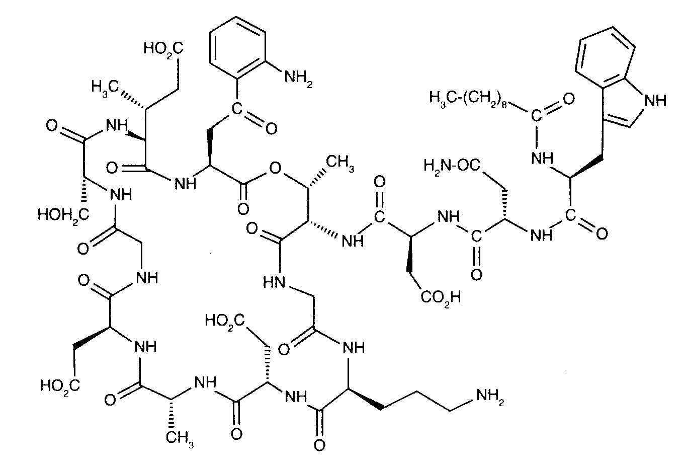
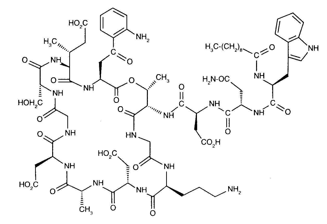
   Kimyasal yapı   

Ticari isim   Ticari isim     

Trade names are indicative and excipients composition can be different depending on the country and manufacturers

Cubicin Almanya, Amerika Birleşik Devletleri, Arjantin, Avustralya, Avusturya, Büyük Britanya, Danimarka, Finlandiya, Fransa, Hindistan, Hollanda, İrlanda, İspanya, İsveç, İsviçre, İtalya, İzlanda, Japonya, Kanada, Kolombiya, Macaristan, Malezya, Meksika, Norveç, Polonya, Portekiz, Romanya, Şili, Türkiye, Venezuela, yeni Zelanda, Yunanistan
Daptomicina Arjantin, İspanya, İtalya
Daptomicine Almanya, Büyük Britanya, Finlandiya, Macaristan, Norveç
Exfuno Brezilya, Şili
Stenkivar Nijerya
Trisk Brezilya
Uygulama yöntemi   Uygulama yöntemi :Daptomycin     
Voie
İntravenöz infüzyon
İntraventriküler

  Mentions Légales