Последнее обновление :
27/04/2026
Антибиотик   Daptomycin  
Инъекция
Стабильность растворов Стабильность смесей Факторы, которые влияют на стабильность Совместимость Способы введения Библиография pdf
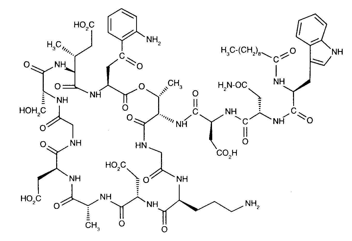
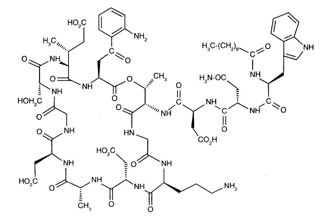
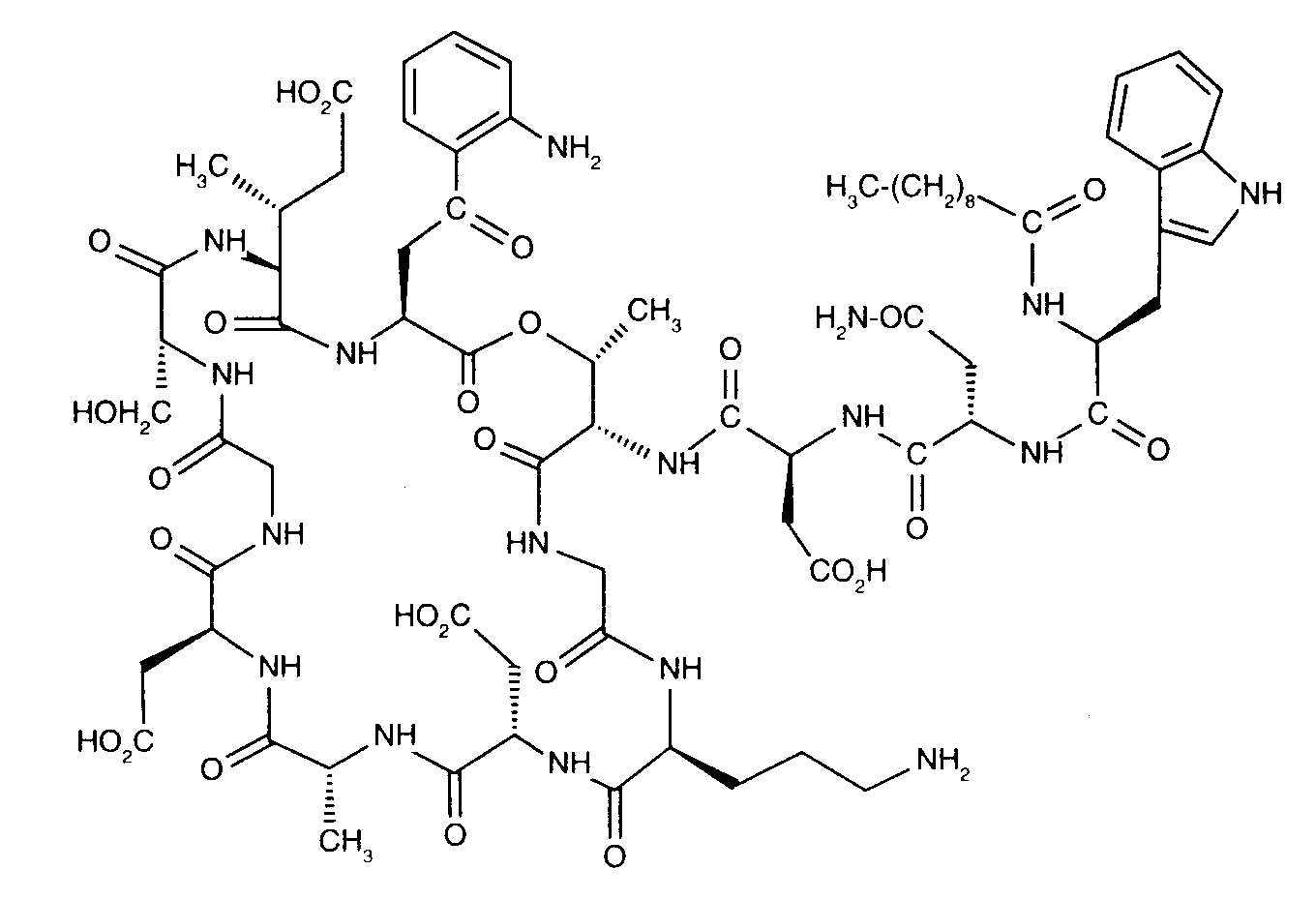
   Химическая структура  

Товарное название   Товарное название     

Trade names are indicative and excipients composition can be different depending on the country and manufacturers

Cubicin Австралия, Австрия, Аргентина, Великобритания, Венгрия, Венесуэла, Германия, Голландия, Греция, Дания, Индия, Ирландия, Исландия, Испания, Италия, Канада, Колумбия, Малайзия, Мексика, новая Зеландия, Норвегия, Польша, Португалия, Румыния, Соединённые Штаты Америки, Турция, Финляндия, Франция, чили, Швейцария, Швеция, Япония
Daptomicina Аргентина, Испания, Италия
Daptomicine Великобритания, Венгрия, Германия, Норвегия, Финляндия
Exfuno Бразилия, чили
Stenkivar Нигерия
Trisk Бразилия
Способы введения   Способы введения :Daptomycin     
Voie
Интравенная, внутривенная инфузия
Интравентрикулярный

  Mentions Légales