最新更新 :
27/04/2026
抗菌薬   Daptomycin  
注射薬
溶媒内の安定性 混合時の安定性 安定性に影響する因子 互換性 投与経路 引用文献 PDF
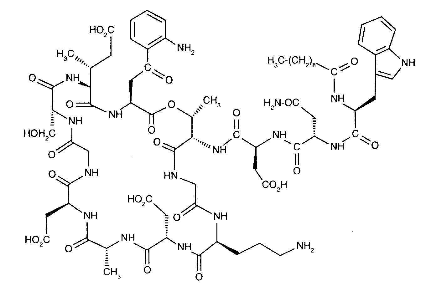
   化学構造  

商品名   商品名     

商品名、賦形剤は国、製薬会社ごとに異なることがあります

Cubicin アイスランド, アイルランド, アメリカ, アルゼンチン, アーストラリア, イギリス, イタリア, インド, オランダ, オーストリア, カナダ, ギリシア, コロンビア, スイス, スウェーデン, スペイン, チリ, デンマーク, トルコ, ドイツ, ニュージーランド, ノルウェー, ハンガリー, フィンランド, フランス, ベネズエラ, ポルトガル, ポーランド, マレーシア, メキシコ, ルーマニア, 日本
Daptomicina アルゼンチン, イタリア, スペイン
Daptomicine イギリス, ドイツ, ノルウェー, ハンガリー, フィンランド
Exfuno チリ, ブラジル
Stenkivar ナイジェリア
Trisk ブラジル
投与経路   投与経路 :Daptomycin     
経路
点滴静注
脳室内

  Mentions Légales