Ultimo aggiornamento :
27/04/2026
Antibiotico   Daptomycin  
Iniezione
Stabilità in soluzione Stabilità in miscela Fattori che influenzano la stabilità Compatibilità metodo di iniezione Bibliografia pdf
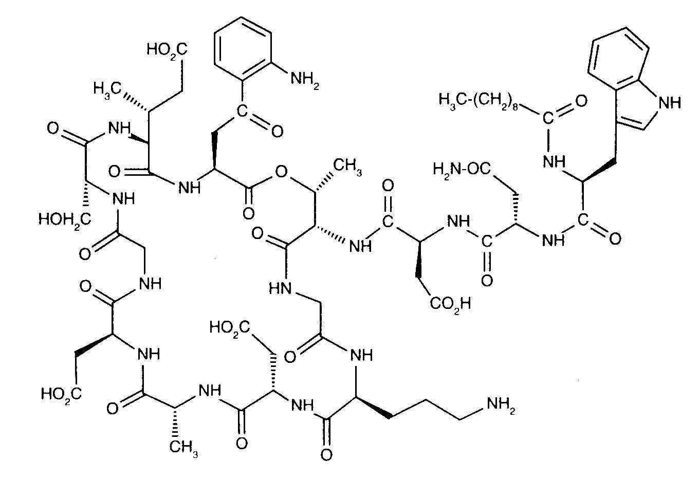
   Struttura chimica  

Nome commerciale   Nome commerciale     

Trade names are indicative and excipients composition can be different depending on the country and manufacturers

Cubicin Argentina, Australia, Austria, Canada, Chile, Colombia, Danimarca, Finlandia, Francia, Germania, Giappone, Gran Bretagna, Grecia, India, Irlanda, Islanda, Italia, Malaysia, Messico, Norvegia, nuova Zelanda, Paesi Bassi, Polonia, Portogallo, Romania, Spagna, Stati Uniti d’America, Svezia, Svizzera, Turchia, Ungheria, Venezuela
Daptomicina Argentina, Italia, Spagna
Daptomicine Finlandia, Germania, Gran Bretagna, Norvegia, Ungheria
Exfuno Brasile, Chile
Stenkivar Nigeria
Trisk Brasile
metodo di iniezione   metodo di iniezione :Daptomycin     
Voie
Flebo endovenosa
Intraventricolare

  Mentions Légales