zadnja posodobitev :
27/04/2026
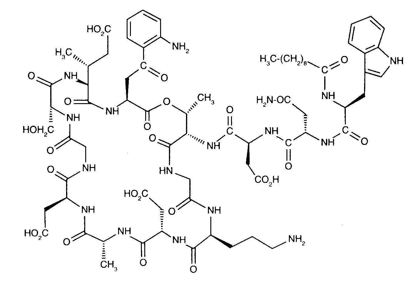
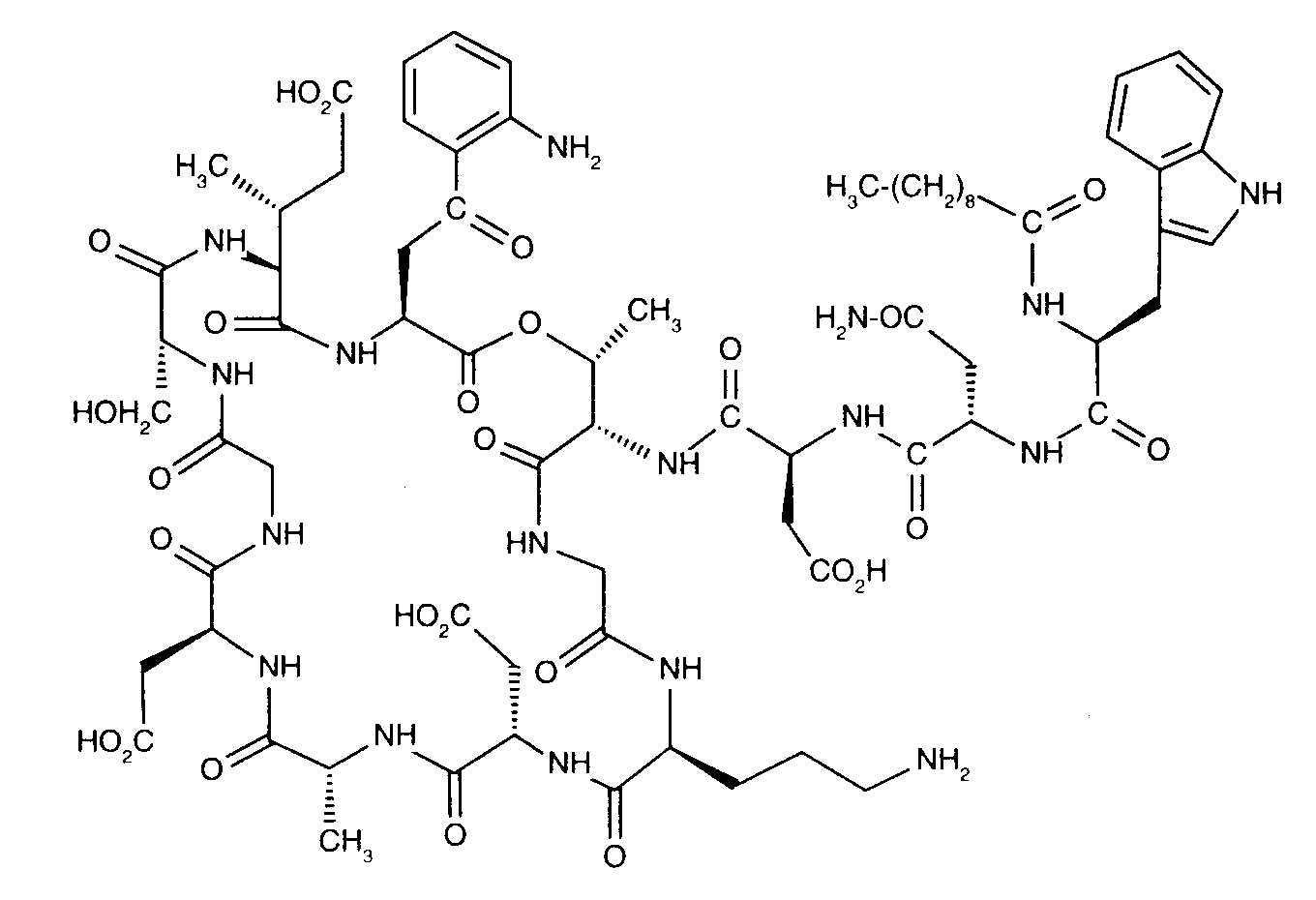
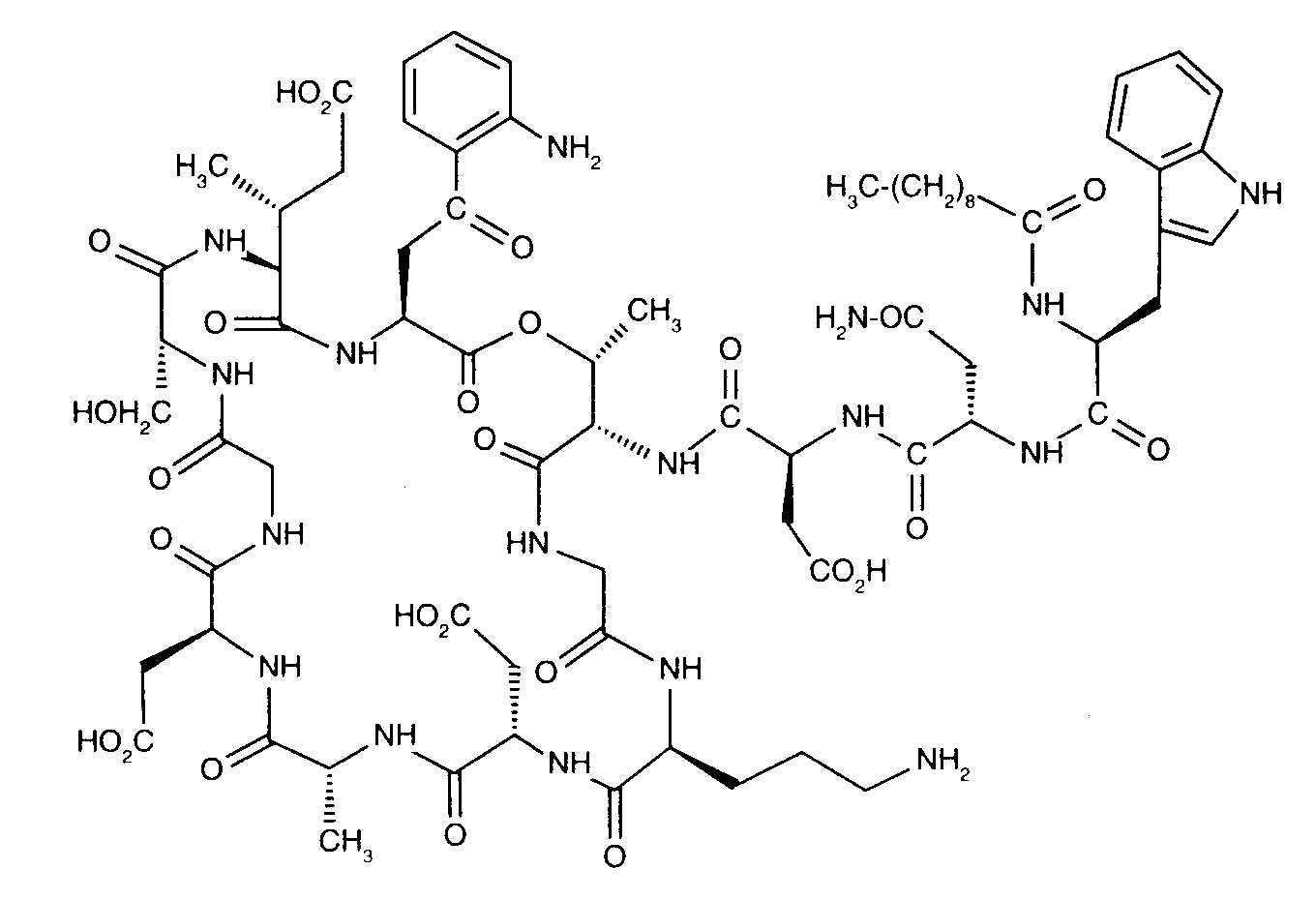
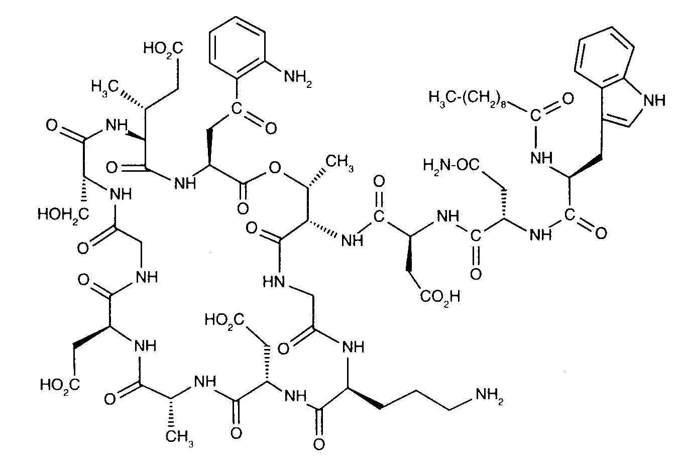
Antibiotik   Daptomycin  
Brizgalka
Stabilnost raztopine Stabilnost mešanice Faktorji, ki vplivajo na stabilnost Kompatibilnost način aplikacije Viri pdf
   Kemična formula  

Lastniško ime   Lastniško ime     

Sestava pomožnih snovi je med paralelami lahko različna

Cubicin Argentina, Avstralija, Avstrija, Čile, Danska, Finska, Francija, Grčija, Indija, Irska, Islandija, Italija, Japonska, Kanada, Kolumbija, Madžarska, Malezija, Mehika, Nemčija, Nizozemska, Norveška, nova Zelandija, Poljska, Portugalska, Romunija, Španija, Švedska, Švica, Turčija, Velika Britanija, Venezuela, Združene države Amerike
Daptomicina Argentina, Italija, Španija
Daptomicine Finska, Madžarska, Nemčija, Norveška, Velika Britanija
Exfuno Brazilija, Čile
Stenkivar Nigerija
Trisk Brazilija
način aplikacije   način aplikacije :Daptomycin     
Voie
Intravenska infuzija
intraventrikularno

  Mentions Légales