最新更新 :
27/04/2026
抗生素   Daptomycin  
注射液
溶液稳定性 混合物稳定性 影响稳定性的因素 兼容性 用药途径 引用文献 PDF
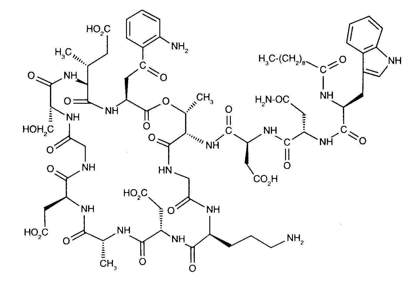
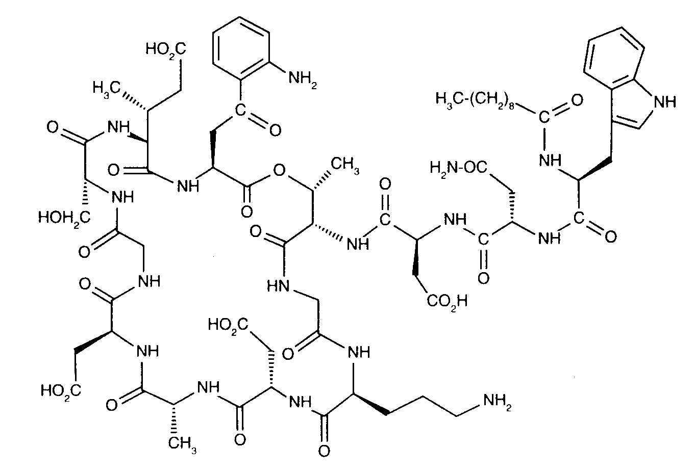
   化学式  

商品名   商品名     

商品名仅供参考, 药品所用的辅料可能依国家或厂商不同有所不同。

Cubicin 丹麦, 冰岛, 加拿大, 匈牙利, 印度, 哥伦比亚, 土耳其, 墨西哥, 奥地利, 委内瑞拉, 希腊, 德国, 意大利, 挪威, 新西蘭, 日本, 智利, 法国, 波兰, 澳大利亚, 爱尔兰, 瑞典, 瑞士, 罗马尼亚, 美国, 芬兰, 英国, 荷兰, 葡萄牙, 西班牙, 阿根廷, 马来西亚
Daptomicina 意大利, 西班牙, 阿根廷
Daptomicine 匈牙利, 德国, 挪威, 芬兰, 英国
Exfuno 巴西, 智利
Stenkivar 尼日利亞
Trisk 巴西
用药途径   用药途径 :Daptomycin     
路线
静脉输液
脑室内

  Mentions Légales