Последно актуализиране :
27/04/2026
Антибиотик   Daptomycin  
Инжекция/Инжекционен
Стабилност на разтвори Стабилност на смеси Фактори, повлияващи стабилността Съвместимост Път на въвеждане Библиография Pdf
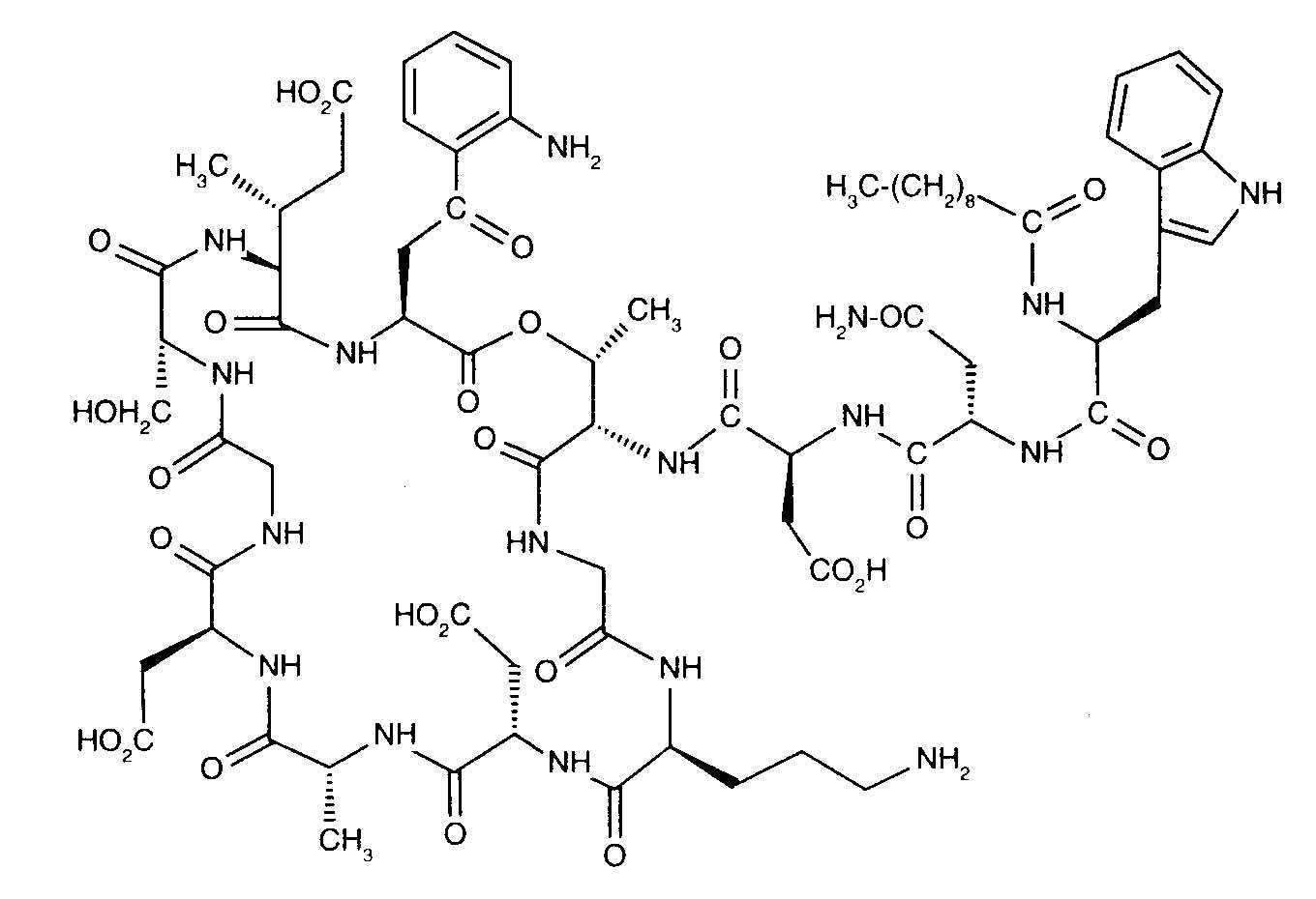
   Химична структура  

Търговско наименование   Търговско наименование     

Търговските имена са примерни и съставът на помощните вещества може да бъде различен в зависимост от държавата и лабораториите

Cubicin Австралия, Австрия, Аржентина, Великобритания, Венецуела, Германия, Гърция, Дания, Индия, Ирландия, Исландия, Испания, Италия, Канада, Колумбия, Малайзия, Мексико, нова Зеландия, Норвегия, Полша, Португалия, Румъния, Съединени Американски щати / САЩ, Турция, Унгария, Финландия, Франция, Холандия, Чили, Швейцария, Швеция, Япония
Daptomicina Аржентина, Испания, Италия
Daptomicine Великобритания, Германия, Норвегия, Унгария, Финландия
Exfuno Бразилия, Чили
Stenkivar Нигерия
Trisk Бразилия
Път на въвеждане   Път на въвеждане :Daptomycin     
Voie
Интравенозна инфузия
Интравентрикуларно

  Mentions Légales