Zadnji put ažurirano :
27/04/2026
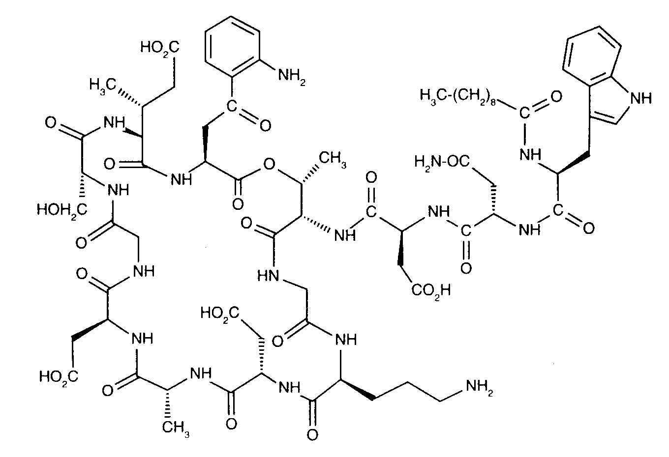
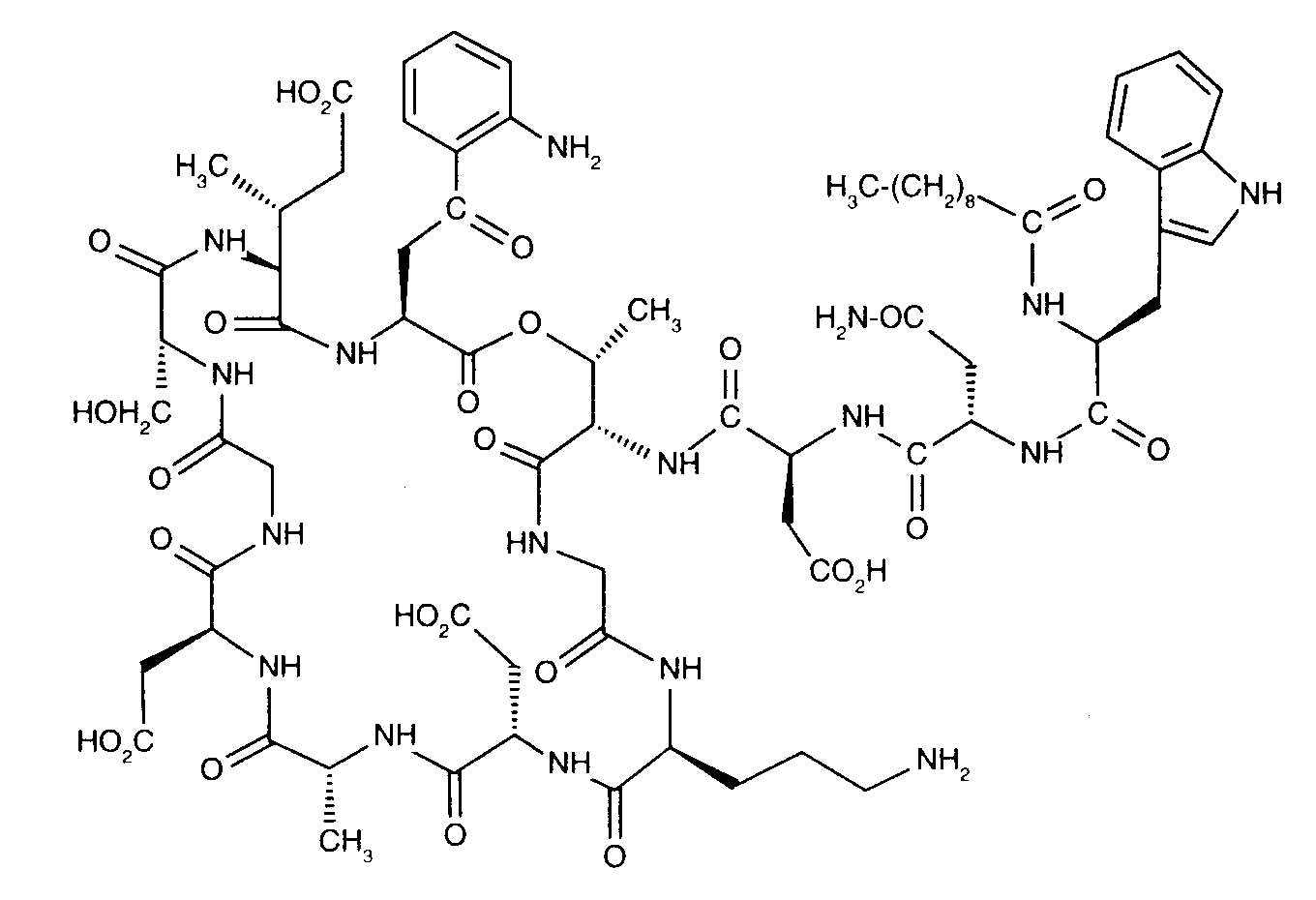
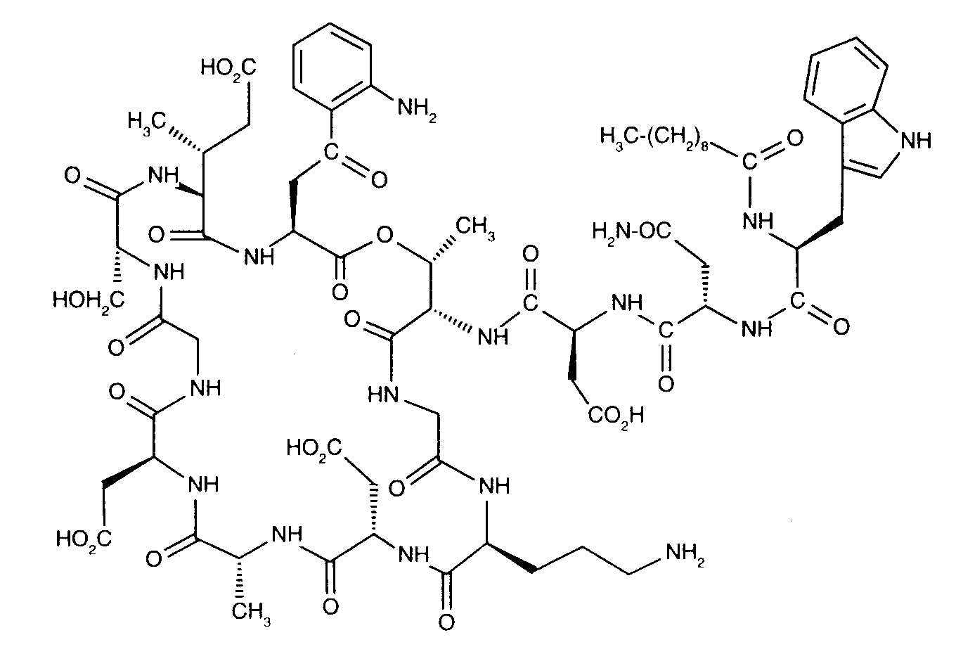
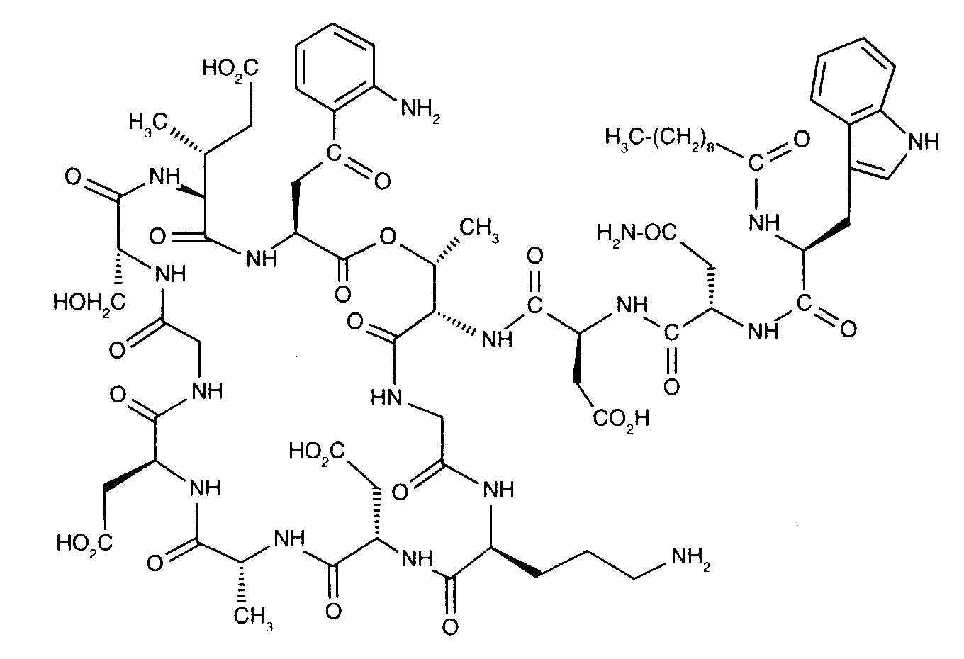
antibiotik   Daptomycin  
injekcija
Stabilizacija rješenja Stabilnost mješavine Stabilizacijski faktor Kompatibilnosti način davanja lijeka Bibliografija pdf
   Kemijska struktura  

Nekomercijalni   Nekomercijalni     

Zaštićeni nazivi su indikativni i sastav ekscipijensa može biti različit ovisno o državi i laboratorijima

Cubicin Indija, Argentina, Australija, Austrija, Čile, Danska, Finska, Francuska, Grčka, Irska, Island, Italija, Japan, Kanada, Kolumbija, Madžarska, Malezija, Meksiko, Nizozemska, Njemačka, Norveška, novi Zeland, Poljska, Portugal, Rumunjska, S A D, Španjolska, Švedska, Švicarska, Turska, Velika Britanija, Venecuela
Daptomicina Argentina, Italija, Španjolska
Daptomicine Finska, Madžarska, Njemačka, Norveška, Velika Britanija
Exfuno Brazil, Čile
Stenkivar Nigerija
Trisk Brazil
način davanja lijeka   način davanja lijeka :Daptomycin     
Voie
intravenozna infuzija
intraventikularno

  Mentions Légales