Laatste update :
27/04/2026
Antibioticum   Daptomycin  
injecteerbaar geneesmiddel
Stabiliteit in oplossing Stabiliteit in mengsels Factoren die de stabiliteit beïnvloeden Verenigbaarheden Toedieningswijze Literatuur pdf
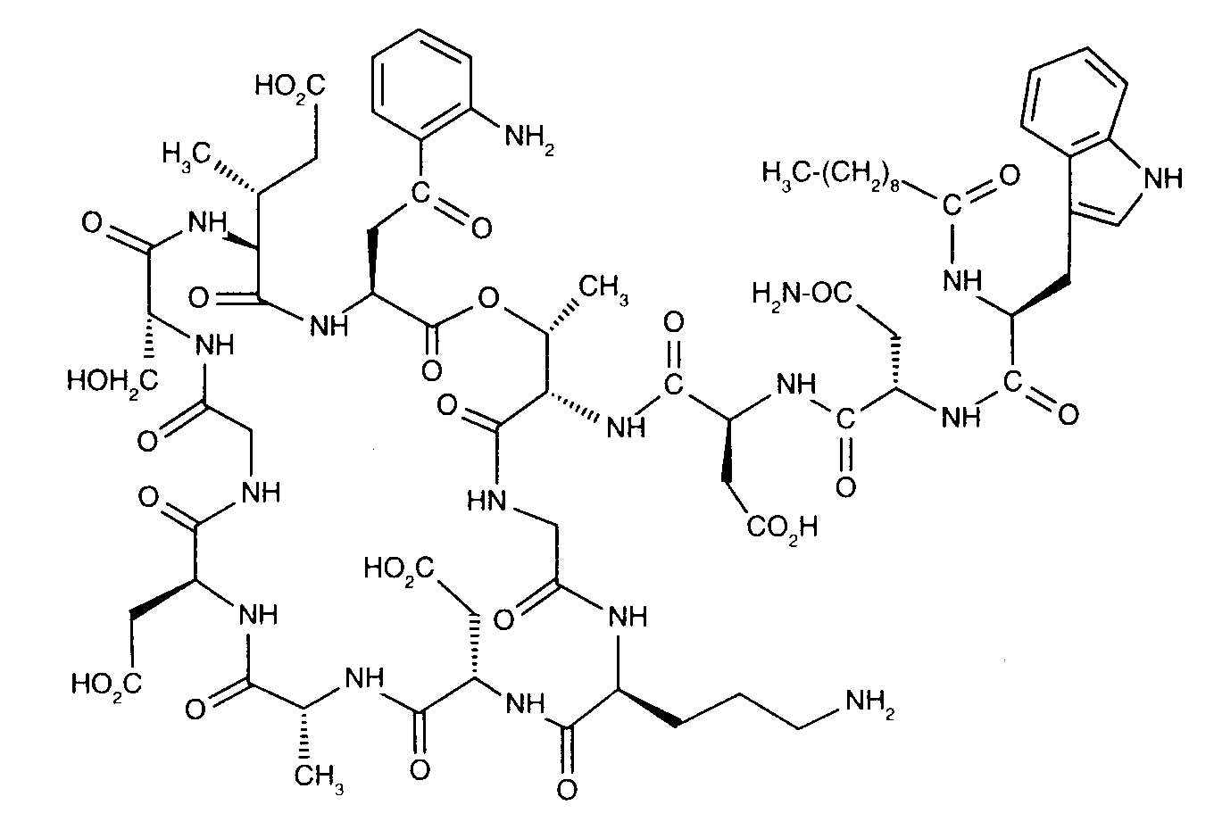
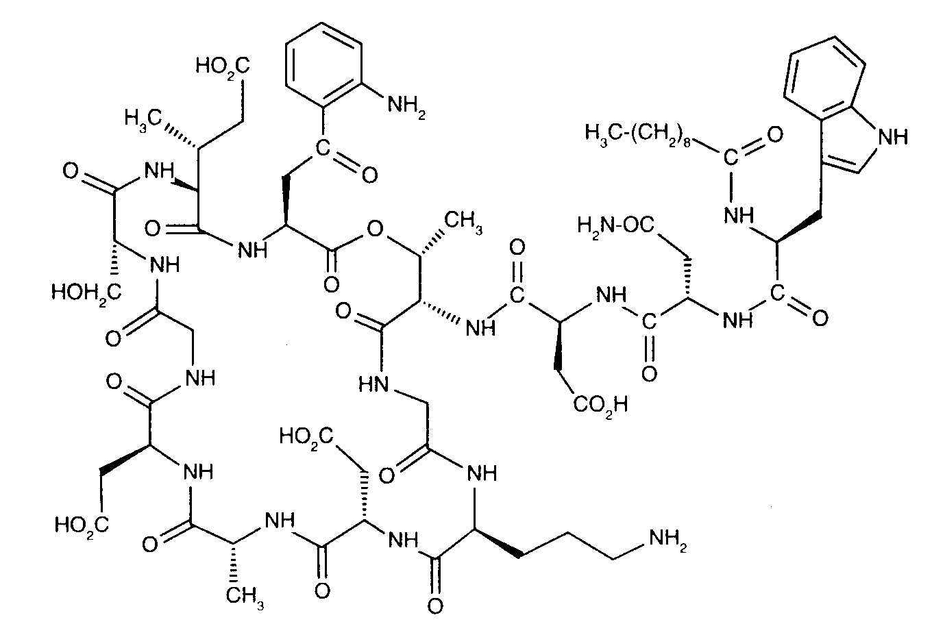
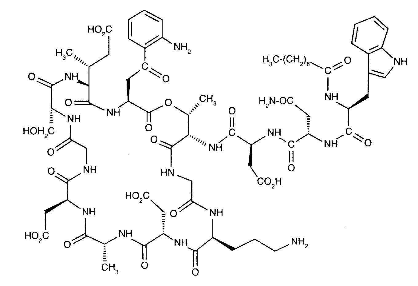
   Molecuulstructuur  

Merknamen in verschillende landen   Merknamen in verschillende landen     

Handelsnamen zijn slechts een indicatie; de samenstelling van hulpstoffen kan per land variëren afhankelijk van de fabrikant

Cubicin Argentinië, Australië, Canada, Chili, Colombia, Denemarken, Duitsland, Finland, Frankrijk, Griekenland, Groot Britannië, Hongarije, Ierland, IJsland, Indië, Italië, Japan, Maleisië, Mexico, Nederland, nieuw Zeeland, Noorwegen, Oostenrijk, Polen, Portugal, Roemenië, Spanje, Turkije, USA, Venezuela, Zweden, Zwitserland
Daptomicina Argentinië, Italië, Spanje
Daptomicine Duitsland, Finland, Groot Britannië, Hongarije, Noorwegen
Exfuno Brazilië, Chili
Stenkivar Nigeria
Trisk Brazilië
Toedieningswijze   Toedieningswijze :Daptomycin     
Voie
Intraveneus infuus
Intraventriculair

  Mentions Légales