Siste oppdatering :
27/04/2026
Antibiotika   Daptomycin  
Injeksjon
Oppløsningsstabilitet Stabilitet i blandinger Faktorer som påvirker stabiliteten Kompatibilitet Administrasjonsmåte Referanser pdf
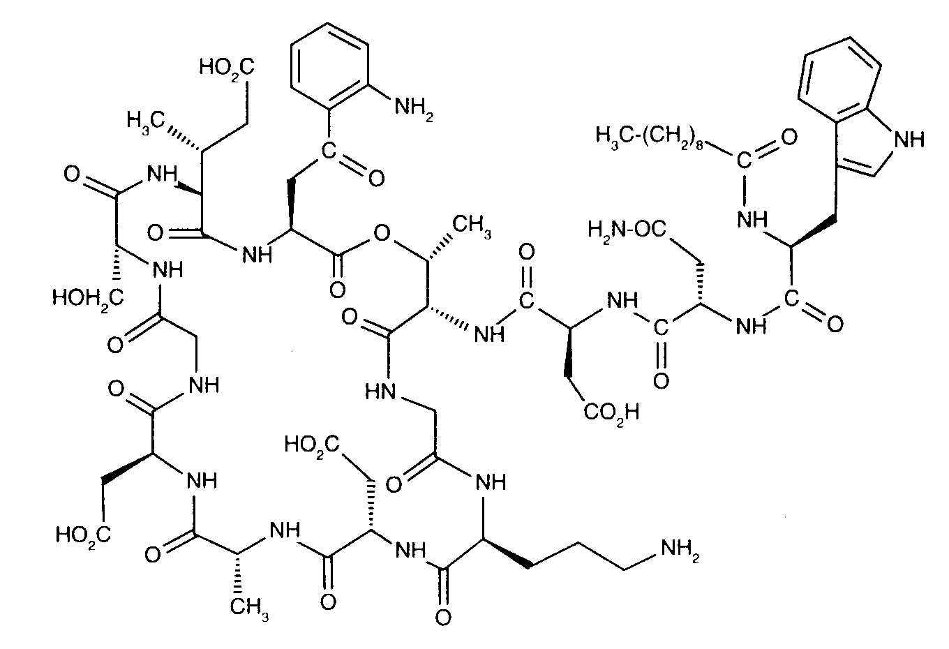
   Kjemisk struktur  

Handelsnavn   Handelsnavn     

Handelsnavn er veiledende og sammensetning av hjelpestoffer kan være forskjellig avhengig av land og produsent

Cubicin Argentina, Australia, Canada, Chile, Colombia, Danmark, Finland, Frankrike, Hellas, India, Irland, Island, Italia, Japan, Malaysia, Mexico, Nederland, New Zealand, Norge, Polen, Portugal, Romania, Spania, Storbritannia, Sveits, Sverige, Tyrkia, Tyskland, Ungarn, USA, Venezuela, Østerrike
Daptomicina Argentina, Italia, Spania
Daptomicine Finland, Norge, Storbritannia, Tyskland, Ungarn
Exfuno Brasil, Chile
Stenkivar Nigeria
Trisk Brasil
Administrasjonsmåte   Administrasjonsmåte :Daptomycin     
Voie
Intravenøs infusjon
Intraventrikulær

  Mentions Légales